10337 (567378), страница 4
Текст из файла (страница 4)
Сублимация - переход из твердой фазы в газообразную. Десублимация - переход из газовой фазы в твердую.
Испарение может происходить не только с поверхности, но и в объеме жидкости. В жидкости всегда имеются мельчайшие пузырьки газа. Если давление насыщенного пара жидкости равно внешнему давлению (т.е. давлению газа в пузырьках) или превышает его, жидкость будет испаряться внутрь пузырьков. Пузырьки, наполненные паром, расширяются и всплывают на поверхность. Этот процесс называется кипением. Таким образом, кипение жидкости начинается при такой температуре, при которой давление ее насыщенных паров становится равным внешнему давлению.
В частности, при нормальном атмосферном давлении вода кипит при температуре 100 °С. Это значит, что при такой температуре давление насыщенных паров воды равно 1 атм. При подъеме в горы атмосферное давление уменьшается, и поэтому температура кипения воды понижается (приблизительно на 1 °С на каждые 300 метров высоты). На высоте 7 км давление составляет примерно 0,4 атм, и температура кипения понижается до 70 °С.
В герметически закрытом сосуде жидкость кипеть не может, т.к при каждом значении температуры устанавливается равновесие между жидкостью и ее насыщенным паром. По кривой равновесия p0 (T) можно определять температуры кипения жидкости при различных давлениях.
При заданной температуре T термодинамическое равновесие между двумя фазами одного и того же вещества возможно лишь при определенном значении давления в системе. Зависимость равновесного давления от температуры называется кривой фазового равновесия. Примером может служить кривая равновесия p0 (T) насыщенного пара и жидкости. Если кривые равновесия между различными фазами данного вещества построить на плоскости (p, T), то они разбивают эту плоскость на отдельные области, в которых вещество существует в однородном агрегатном состоянии - твердом, жидком или газообразном (рис.1). Изображенные в координатной системе (p, T) кривые равновесия называются фазовой диаграммой.
Кривая OT, соответствующая равновесию между твердой и газообразной фазами, называется кривой сублимации. Кривая TK равновесия между жидкостью и паром называется кривой испарения, она обрывается в критической точке K. Кривая TM равновесия между твердым телом и жидкостью называется кривой плавления. Кривые равновесия сходятся в точке T, в которой могут сосуществовать в равновесии все три фазы. Эта точка называется тройной точкой.
Для многих веществ давление pтр в тройной точке меньше 1 атм ≈ 105 Па. Такие вещества при нагревании при атмосферном давлении плавятся. Например, тройная точка воды имеет координаты Tтр = 273,16 К, pтр = 6,02·102 Па. Эта точка используется в качестве опорной для калибровки абсолютной температурной шкалы Кельвина. Существуют, однако, и такие вещества, у которых pтр превышает 1 атм. Так для углекислоты (CO2) давление pтр = 5,11 атм и температура Tтр = 216,5 К. Поэтому при атмосферном давлении твердая углекислота может существовать только при низкой температуре, а в жидком состоянии при p = 1 атм она вообще не существует. В равновесии со своим паром при атмосферном давлении углекислота находится при температуре 173 К или -80 °С в твердом состоянии. Это широко применяемый "сухой лед", который никогда не плавится, а только испаряется (сублимирует).
7. Охарактеризуйте строение и биологическое значение АТФ, почему АТФ называют основным источником энергии в клетке?
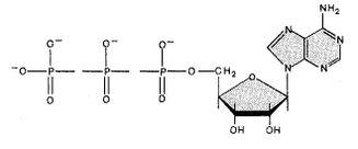
Рис.1. Схема строения АТФ
АТФ - это аденозинтрифосфат, нуклеотид, относящийся к группе нуклеиновых кислот. Концентрация АТФ в клетке мала (0,04%; в скелетных мышцах 0,5%). Молекула АТФ состоит из аденина, рибозы и трех остатков фосфорной кислоты (рис.1). При гидролизе остатка фосфорной кислоты выделяется энергия:
АТФ + H2O = АДФ + Н3РО4 + 40 кДж/моль.
Связь между остатками фосфорной кислоты является макроэргической, при ее расщеплении выделяется примерно в 4 раза больше энергии, чем при расщеплении других связей.
Энергия гидролиза АТФ используется клеткой в процессах биосинтеза и деления клетки, при движении, при производстве тепла, при проведении нервных импульсов и т.д.
После гидролиза образовавшийся АДФ обычно с помощью белков-цитохромов быстро вновь фосфорилируется с образованием АТФ. АТФ образуется в митохондриях при дыхании, в хлоропластах - при фотосинтезе, а также в некоторых других внутриклеточных процессах. АТФ называют универсальным источником энергии, потому что энергетика клетки основана главным образом на процессах, в которых АТФ либо синтезируется, либо расходуется.
8. Основные выводы учения Вернадского о биосфере. Охарактеризуйте понятия "экосистема", "биогеоценоз", "экологическая ниша", "биоценоз". Чем определяется их устойчивость, какие связи существуют между организмами в экосистеме, и как они моделируются?
В.И. Вернадский первый аргументировано проанализировал основы теории функционирования биосферы с учетом системного ее качества, специфики организации, возможности развития в режиме "эффективность-оптимум". Он увидел, что в структурно-функциональном и пространственно-временном аспектах организованность биосферы создается и сохраняется на протяжении миллиардов лет существования благодаря деятельности живых организмов.
Биосфера, по В.И. Вернадскому, предстает в виде комплекса систем типа: "предмет жизнедеятельности - живой организм", связанных друг с другом. "Нет ни одного организма, который бы в своем дыхании и питании не был бы связан хотя бы отчасти с косной материей". Взаимозависимость "живое вещество - предмет жизнедеятельности (неорганическая и органическая среда)" действует в соответствии с законом бережливости, регулирующим геохимические процессы биосферы. Подчиняясь ему, живое вещество экономно использует необходимые химические элементы и соединения.
Все виды живого вещества, взаимодействуя с предметами жизнеобеспечения, берут надолго или навсегда строго фиксируемый состав элементов, с достаточной степенью эффективности используют каждый из них в пределах своего биоцикла, замыкая последний по формуле: беру необходимое - экономно использую - отдаю остатки в приемлемой для окружающей среды форме.
Необычный подход к определению роли живых организмов в биосфере позволил В.И. Вернадскому по-новому оценить масштабы, глубину последствий деятельности живого вещества и в особенности производственной деятельности человека для настоящего и будущего Земли.
Человек - существо биосоциальное - продолжает эволюцию материи в специфических, свойственных только ему формах. Он становится носителем универсального типа связей (предмет жизнедеятельности дополняется предметом труда, а последним становится планета). "Мощь человека связана с его мозгом, с его разумом и направленным этим разумом трудом".
Геохимическая функция организмов в биосфере до появления человека - на это обстоятельство В.И. Вернадский обращает внимание ввиду его исключительной важности - стихийно вписывалась в кругооборот веществ, не причиняя ущерба природе. Процессы образования и разрушения живого здесь как бы уравновешивали друг друга. С появлением человека характер их меняется сначала постепенно, а начиная с ХХ века - глубоко и остро, что связано со становлением человечества, действующего "как единое целое по отношению к остальному живому населению планеты".
Освобожденные в результате антропогенной деятельности химические элементы, лишь в малой доле своей включаясь в последующие циклы производства, превращаются рано или поздно в балласт, небезразличный для биосферы, более того, разрывающий своим присутствием устоявшиеся биогеохимические ее циклы.
Выход из подобного рода ситуации, по теории В.И. Вернадского, один: деятельность человечества должна быть согласована с алгоритмом функционирования старинных биогеохимических циклов планеты.
В.И. Вернадский, размышляя над этой проблемой, счел необходимым в качестве органической ее части вывод о том, что завершающим этапом эволюции "шара жизни" станет новое его состояние - НООСФЕРА.
В работе "Научная мысль как планетное явление" ученым намечаются контуры антропогенного этапа эволюции биосферы - биотехносферы, осуществляющейся сообразно степени реализации человеком мощи разума и труда, концентрируемых в предметах, средствах и результатах его деятельности.
Научная мысль есть планетарное явление, что соответствует сути ноосферы - созданию на строго научных началах оболочки планеты как самоорганизующейся, динамичной системы.
В.И. Вернадский всесторонне обосновал тезис: переход биосферы в ноосферу предопределен развитием материального и духовного производств. Подтверждается ли этот вывод развитием сфер производства?
Предмет труда материального производства влияет на окружающую среду своими отходами. Они образуются на стадиях добывающих и обрабатывающих производств, а также, поскольку все виды продукции (готовые и конечные продукты) необходимо перемещать в пространстве, отходами транспортной промышленности.
Предмет труда современного материального производства, изменившись качественно, может иметь следствием подключение его отходов к биогеохимическим циклам планеты. В меру того, как способ его функционирования приближен к варианту - оптимум, он сделает неизбежным переход биотехносферы в ноосферу.
Предмет труда духовного производства, обладая уникальной возможностью непосредственного выхода на предмет труда материального производства в любой его стадии, воздействует на биотехносферу, ускоряя или замедляя течение процесса самим выбором объекта познания. В случае, если он сделан своевременно и правильно, путь от предмета труда духовного производства к предмету труда материального производства сокращается, соответственно интенсифицируется переход биотехносферы в ноосферу.
Переход в ноосферу во многом зависит от того, как скоро предметом труда ученых станут опасные для всего живого очаги загрязнений планеты, насколько точно полученные знания смогут осуществиться с учетом параметра биосферосовместимости в предмете труда материального производства, следовательно, в готовой и конечной продукции, итогом функционирования которого они являются.
Показательно сопоставление связей "предмет труда материального производства - биотехносфера" и "предмет труда материального производства - ноосфера".
Обратимые связи биотехносферы (предмет труда - биосфера) существуют наряду с необратимыми (отходы - балласт биосферы). Гармоничное сочетание этих противоположных по своей сущности связей невозможно. Поэтому на определенном этапе эволюции биотехносферы, если вовремя не принять меры, глобальные циклы ломаются.
В ноосфере ситуация радикально изменится за счет образования нового вида связей: неусваиваемые биосферой отходы - биохимцикл очистки - усваиваемые биосферой отходы, что решает проблему балластных образований в биосфере по крайней мере для комплекса биологически вредных продуктов антропогенной деятельности.
В ноосфере, или биотехносфере, регулируемой социумом, познавшим законы ее эволюции, - биогеотехноциклы окажутся замкнутыми, обратимыми.
Сопоставление связей "предмет труда материального производства - биотехносфера" - "предмет труда материального производства - ноосфера" дает основание для заключения: ликвидация разрывов в биотехноциклах планеты возможна при условии перехода от стихийных форм хозяйствования к сознательно регулируемым, позволяющим не только сократить количественно все виды отходов, но и изменять их качественно. Другими словами, предмет труда материального производства - поставщик загрязнений - способен удовлетворить требованиям параметра биосферосовместимости при условии изменений функционирования всех его стадий: нулевого, первичного, вторичного. Учение В.И. Вернадского о биосфере и ноосфере не может не привести к выводу: вторая (искусственная) природа так же как и первая (естественная), должна охватываться законом бережливости. Поступление в сферу материального производства химических элементов должно быть минимальным количественно и качественно; захваченное должно использоваться максимальное число раз; элементы, которые не находят применения в производственных процессах, должны "переключаться" на смежные, сопутствующие; нерегенерируемые далее соединения на выходе в биосферу обезвреживаются (обязательное условие подключения к старинным геохимическим циклам планеты). Осуществление завершающего звена, по В.И. Вернадскому, должно быть итогом переработки отходов и вышедшей из употребления продукции автотрофными, так как высшие формы живой материи - гетеротрофные - способны усваивать без ущерба для себя лишь химически чистые, однородные элементы. Хлорофильные растения и окисляющие бактерии должны поэтому выполнить роль "связующих" звеньев (только они могут питаться изотопическими смесями). Включение низших биологических форм в производственный процесс обеспечивало бы оптимальный вариант решения многих экологически сложных ситуаций.
1. Биотические - связи между живыми организмами в экосистеме. Основной вид биотических связей - пищевые связи (цепи питания).
2. Звенья пищевой цепи:
производители - растения и некоторые бактерии, создающие органические вещества из неорганических;
потребители - животные, некоторые растения и бактерии, питающиеся готовыми органическими веществами;
разрушители - грибы и некоторые бактерии, разрушающие органические вещества до неорганических.
3. Внутривидовые отношения - биотические связи между особями одного вида. Примеры: конкуренция между самцами из-за самки, борьба особей из-за лидерства в группе, забота родителей о потомстве, охрана самцами молодых животных и самок.
4. Межвидовые отношения - биотические связи между особями разных видов (хищничество, конкуренция, паразитизм, симбиоз).
5. Хищничество - прямые пищевые связи между организмами, при которых одни организмы уничтожаются другими организмами. Примеры: поедание лисицей зайцев, синицей - гусениц.
6. Конкуренция - тип взаимоотношений, возникающий между видами со сходными экологическими потребностями из-за пищи, территории и др. Пример: конкуренция между лосями и зубрами, обитающими в одном лесу, из-за пищи. Отрицательное влияние конкуренции на оба конкурирующих вида (например, уменьшение численности лосей и зубров вследствие недостатка корма).
7. Паразитизм - форма межвидовых отношений, при которых одни организмы существуют за счет других, питаясь их кровью, тканями или переваренной пищей. Многократное использование паразитом организма хозяина. Примеры паразитизма: гриб-трутовик и дерево, собака и клещ, паразитические черви и человек.















