10152 (567354), страница 2
Текст из файла (страница 2)
ЖИРЫ - органические соединения, в основном сложные эфиры глицерина и одноосновных жирных кислот (триглицериды); относятся к липидам. Один из основных компонентов клеток и тканей живых организмов. Источник энергии в организме; калорийность чистого жира 3770 кДж/100 г. Природные жиры подразделяются на жиры животные и масла растительные.
Жиры (липиды) представляют собой соединения высокомолекулярных жирных кислот и трехатомного спирта глицерина. Жиры не растворяются в воде — они гидрофобны. В клетках есть и другие сложные гидрофобные жироподобные вещества, называемые липоидами, например холестерин. Содержание жиров в клетке колеблется от 5 до 15% от массы сухого вещества. В клетках жировой ткани количество жира достигает 90%.
К числу важнейших относится строительная функция липидов и липоидов. Липиды образуют бимолекулярный слой, служащий основой наружной клеточной мембраны (см. рис. 18). Из них 75—95% составляют фосфолипиды. В состав клеточной мембраны входит и холестерин.
Важную роль играют липиды как источники энергии. В ходе расщепления 1 г жиров до СО2 и Н2О освобождается большое количество энергии — 38,9 кДж. Накапливаясь в клетках жировой ткани животных, в семенах и плодах растений, жиры служат запасным источником энергии.
Благодаря плохой теплопроводности жир способен выполнять функцию теплоизоляции. У некоторых животных (тюлени, киты) он откладывается в подкожной жировой ткани, которая у китов образует слой толщиной до 1 м.
Липоиды служат предшественниками некоторых гормонов. Следовательно, этим веществам свойственна и функция регуляции обменных процессов.
Жиры не только источник энергии.
Долгое время жиры считали источником энергии, который можно без ущерба для организма заменить углеводами, но оказалось, что это не так. Недостаток жиров сокращает жизнь, нарушает деятельность мозга, снижает выносливость организма. Жиры входят в состав клеток (цитоплазмы, ядра, мембран), где их количество устойчиво и постоянно. С жирами поступают в организм растворенные в них витамины.
В среднем запас жира в организме составляет 9 кг с общей калорийностью 336 000 Дж.
До недавнего времени жиры делили на полноценные (животные) и неполноценные (растительные). Такое деление оказалось ошибочным. Животные и растительные жиры взаимно незаменимы. Растительные жиры активизируют обмен веществ, предупреждают ряд заболеваний. Чаще употребляют в пищу подсолнечное, оливковое, льняное, кукурузное масло. Вещества животных жиров благотворно влияют на деятельность мозга. Ежедневный рацион — 50 г животных и 50 г растительных жиров.
Организм особенно чувствителен к недостатку веществ, содержащихся в растительных жирах. Детям необходимо давать ежедневно от 12 до 20 г растительного масла.
Собственный жир организма образуется из разнообразных растительных и животных жиров, потребляемых с пищей. Жир откладывается в «депо» — под кожей, в сальнике, в области таза. Жировая клетчатка — не только запас энергетического материала, но и амортизатор. Жировые подушки сводов стопы принимают на себя тяжесть тела. В этом легко убедиться: если встать на колени, где почти нет жировой подкожной прокладки, то тяжесть тела даст о себе знать.
УГЛЕВОДЫ или сахариды,— органические веществах общей формулой СП(Н2О)П1. У большинства углеводов число атомов водорода в два раза превышает количество атомов кислорода. Поэтому эти вещества и были названы углеводами. В животных клетках углеводов немного — 1—2, иногда до 5% (в клетках печени) Богаты углеводами растительные клетки, где их содержание достигает 90% сухой массы (клубни картофеля).
Углеводы, обширная группа природных органических соединений, химическая структура которых часто отвечает общей формуле Cm(H2O)n(т. е. углерод вода, отсюда название). Различают моно-, олиго- и полисахариды, а также сложные углеводы — гликопротеиды, гликолипиды, гликозиды и др. Углеводы — первичные продукты фотосинтеза и основные исходные продукты биосинтеза других веществ в растениях. Составляют существенную часть пищевого рациона человека и многих животных. Подвергаясь окислительным превращениям, обеспечивают все живые клетки энергией (глюкоза и ее запасные формы — крахмал, гликоген). Входят в состав клеточных оболочек и других структур, участвуют в защитных реакциях организма (иммунитет). Применяются в пищевой (глюкоза, крахмал, пектиновые вещества), текстильной и бумажной (целлюлоза), микробиологической (получение спиртов, кислот и других веществ сбраживанием углеводов) и других отраслях промышленности. Используются в медицине (гепарин, сердечные гликозиды, некоторые антибиотики).
Классификация углеводов
Углеводы подразделяют на простые и сложные Простые углеводы называются моносахаридами. В зависимости от числа атомов углерода в молекуле моносахариды называются триозами (3 атома), тетрозами (4 атома), пентозами (5 атомов) или гексозами (6 атомов углерода).
Из шестиуглеродных моносахаридов — гексоэ — наиболее важны глюкоза, фруктоза и галактоза. Глюкоза содержится в крови (0,1—0,12 %) и служит основным источником энергии для клеток и тканей организма. Пентозы — рибоза и дезоксирибоза — входят в состав нуклеиновых кислот и АТФ. Если в одной молекуле объединяются два моносахарида, то такое соединение называют дисахаридом. К дисахаридам относится пищевой сахар, получаемый из тростника или сахарной свеклы. Он состоит из одной молекулы глюкозы и одной молекулы фруктозы. Молочный сахар также является димером и включает глюкозу и галактозу.
Сложные углеводы, образованные многими моносахаридами, называются полисахаридами. Мономером таких полисахаридов, как крахмал, гликоген, целлюлоза, является глюкоза.
Углеводы входят в состав клеток всех живых организмов. Наиболее просто устроены молекулы простых углеводов, или моносахаридов, например, глюкозы. В различных условиях она может существовать в линейной или циклической форме.
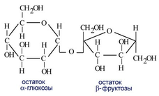
Из молекул моносахаридов образуются сложные углеводы. В состав некоторых из них входит только две молекулы простых углеводов. Такие углеводы получили название дисахаридов. Их примером может служить сахароза, или тростниковый сахар, образующийся в клетках некоторых растений. Она состоит из остатков а-глюкозы и b-фруктозы.
Макромолекулы полисахаридов, состоящие из множества молекул простых углеводов, называются полисахаридами. Одним из них является целлюлоза, входящая в состав клеточных стенок зеленых растений.
Функции углеводов
Углеводы выполняют две основные функции: строительную и энергетическую. Например, целлюлоза образует стенки растительных клеток; сложный полисахарид хитин — главный структурный компонент наружного скелета членистоногих. Строительную функцию хитин
выполняет и у грибов. Углеводы играют роль основного источника энергии в клетке. В процессе окисления 1 г углеводов освобождается 17,6 кДж энергии. Крахмал у растений и гликоген у животных, откладываясь в клетках, служит энергетическим резервом.
ВОДА, Н2О, жидкость без запаха, вкуса, цвета (в толстых слоях голубоватая); плотность 1,000 г/см3 (3,98 °С), tпл 0 °С, tкип 100 °С. Одно из самых распространенных веществ в природе (гидросфера занимает 71% поверхности Земли). Воде принадлежит важнейшая роль в геологической истории планеты. Без воды невозможно существование живых организмов (около 65% человеческого тела составляет вода).
Вода — обязательный компонент практически всех технологических процессов как промышленного, так и сельскохозяйственного производства. Вода особой чистоты необходима в производстве продуктов питания и медицине, новейших отраслях промышленности (производство полупроводников, люминофоров, ядерная техника), в химическом анализе. Стремительный рост потребления воды и возросшие требования к воде определяют важность задач водоочистки, водоподготовки, борьбы с загрязнением и истощением водоемов (см. Охрана природы).
Вода — среда жизненных процессов.
В организме взрослого человека массой 70 кг воды 50 кг, а тело новорожденного состоит на 3/4 из воды. В крови взрослого 83% воды, в мозгу, сердце, легких, почках, печени, мышцах — 70 — 80 %; в костях — 20 — 30%.
Интересно сравнить такие цифры: сердце содержит 80%, а кровь 83% воды, хотя сердечная мышца твердая, плотная, а кровь — жидкость. Объясняется это способностью некоторых тканей связывать большое количество воды.
Вода жизненно необходима. При голодании человек может потерять весь свой жир, 50% белка, но потеря тканями 10% воды смертельна.
Каждые сутки взрослому человеку требуются 2 л воды. Но для нормальной работы ему требуется впятеро больше. Где берут ткани нашего тела столько воды? Они ее создают сами. Эта внутренняя вода постоянно образуется за счет окисления питательных веществ.
Жажда
Ощущение сухости во рту воспринимается часто как чувство жажды, хотя в организме может и не быть обезвоживания. Это доказано опытами на животных, у которых под влиянием атропина полностью прекращалось выделение слюны. Животные испытывали чувство жажды, однако в их' организме воды было достаточно. Первое ощущение жажды появляется при уменьшении слюноотделения на 15%, сильное чувство жажды — при снижении количества слюны на 20% и мучительное чувство жажды — на 50%. Наблюдались случаи, когда человек, не приученный к нормальному утолению жажды, выпивал 5—6 л воды за 8 часов, в то время как другой только 0,5 л, находясь в тех же условиях.
Обильное потение с последующим обильным введением воды нарушает способность клеток тела удерживать воду. Возникает как бы замкнутый круг — чем больше человек пьет, тем больше потеет, чувство жажды ощущается острее. Нужно приучить себя к правильному потреблению воды. Если чувствуешь жажду, пить надо за полчаса до еды или спустя два часа после приема пищи.
Рекомендуется - утолять жажду, выпивая через 15—20 минут по нескольку глотков воды. Выпитая вода не сразу утоляет жажду, так как всасывается она только спустя 10—15 минут. Лучше утолять жажду минеральной или слегка подсоленной водой. Следует чаще полоскать рот слегка подкисленной ягодными и фруктовыми соками водой и сдерживать себя от частого и обильного потребления воды. Приятно освежает газированная вода.
Интересным был опыт в пустыне Каракумы. Две группы людей совершали поход. Одной группе участников похода дали леденцы, в которые входила лимонная кислота, другой их не давали. Воды получили все поровну. Первой группе хватило воды, а второй пришлось выдать дополнительный паек. Сильную жажду в первой группе люди утоляли с помощью леденцов. Их кислый вкус вызывал отделение слюны, и чувство жажды исчезало.
Ложную жажду легче утолить, просто смочив рот водой, чем выпить целый стакан воды. Особенно не следует принимать много жидкости за обедом, поскольку избыток воды осложняет работу сердца, разжижает желудочный сок.
Опыты над животными показали, что введение большого количества воды за короткое время вызывает свое-
образное «водное отравление». Если собаке в течение часа вводить 100 г воды на 1 кг массы, то она может погибнуть. Признаки водного отравления имели место у рабочих горячих цехов — потеря чувствительности, рвота, судороги, понос.
Соблюдение водного режима — одно из важных условий здоровья.
СОЛИ, продукты замещения атомов водорода кислоты на металл или групп ОН основания на кислотный остаток. При полном замещении образуются средние, или нормальные, соли (NaCl, K2SO4 и др.), при неполном замещении атомов Н — кислые (напр., NaHCO3), неполном замещении групп ОН — основные [напр., (C17H35COO)Al(OH)2].
















