188 (567026), страница 3
Текст из файла (страница 3)
Орбиты небесных тел - траектории, по которым движутся небесные тела в космическом пространстве. Формы орбит небесных тел и скорости, с которыми по ним движутся небесные тела, определяются силой тяготения, а также силой светового давления, электромагнитными силами, сопротивлением среды, в которой происходит движение, приливными силами, реактивными силами (в случае движения ядра кометы) и многое др.
В движении планет, комет и спутников планет, а также в движении Солнца и звёзд в Галактике решающее значение имеет сила всемирного тяготения. На активных участках орбит искусственных космических объектов наряду с силами тяготения определяющее значение имеет реактивная сила двигательной установки. Ориентация орбиты в пространстве, её размеры и форма, а также положение небесного тела на орбите определяются величинами (параметрами), называемыми элементами орбиты.
Элементы орбит планет, комет и спутников определяются по результатам астрономических наблюдений в три этапа:
вычисляются элементы т. н. предварительной орбиты без учёта возмущений, т. е. решается задача двух тел. Для этой цели в большинстве случаев достаточно иметь три наблюдения (т. е. координаты трёх точек на небесной сфере) небесного тела (например, малой планеты), охватывающие промежуток времени в несколько дней или недель.
Осуществляется улучшение предварительной орбиты (т. е. вычисляются более точные значения элементов орбиты) по результатам более длительного ряда наблюдений.
Вычисляется окончательная орбита, которая наилучшим образом согласуется со всеми имеющимися наблюдениями.
Для многих тел Солнечной системы, в том числе для больших планет, Луны и некоторых спутников планет, имеются уже длительные ряды наблюдений. Для вычисления по этим наблюдениям окончательной орбиты (или, как говорят, для разработки теории движения небесного тела) применяются аналитические и численные методы небесной механики.
В результате первого этапа орбита определяется в виде конического сечения (эллипса, иногда также параболы или гиперболы), в фокусе которого находится другое (центральное) тело. Такие орбиты называются невозмущёнными или кеплеровыми, т.к. движение небесного тела по ним происходит по законам Кеплера.
Напомним:
Первый закон Кеплера (Закон эллипсов)
Каждая планета Солнечной системы обращается по эллипсy, в одном из фокусов которого находится Солнце.
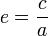
Форма эллипса и степень его сходства с окружностью характеризуется отношением
,
где c — расстояние от центра эллипса до его фокуса (половина межфокусного расстояния), a — большая полуось. Величина e называется эксцентриситетом эллипса. При c = 0 и e = 0 эллипс превращается в окружность.
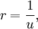
Закон всемирного тяготения Ньютона гласит, что «каждый объект во вселенной притягивает каждый другой объект по линии соединяющей центры масс объектов, пропорционально массе каждого объекта, и обратно пропорционально квадрату расстояния между объектами». Это предполагает, что ускорение a имеет форму
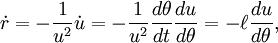
Вспомним, что в полярных координатах
В координатной форме запишем
Подставляя
и
во второе уравнение, получим
которое упрощается
После интегрирования запишем выражение
для некоторой константы
, которая является удельным угловым моментом (
).Пусть
Уравнение движения в направлении
становится равным
Закон всемирного тяготения Ньютона связывает силу на единицу массы с расстоянием как
где G — универсальная гравитационная константа и M — масса звезды.
В результате
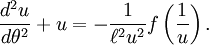
Это дифференциальное уравнение имеет общее решение:
для произвольных констант интегрирования e и θ0.
Заменяя u на 1/r и полагая θ0 = 0, получим:
Мы получили уравнение конического сечения с эксцентриситетом e и началом системы координат в одном из фокусов. Таким образом, первый закон Кеплера прямо следует из закона всемирного тяготения Ньютона и второго закона Ньютона.
Второй закон Кеплера (Закон площадей)
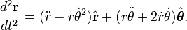
Каждая планета движется в плоскости, проходящей через центр Солнца, причём за равные времена радиус-вектор, соединяющий Солнце и планету, заметает сектора равной площади.
Применительно к нашей Солнечной системе, с этим законом связаны два понятия: перигелий — ближайшая к Солнцу точка орбиты, и афелий — наиболее удалённая точка орбиты. Таким образом, из второго закона Кепплера следует, что планета движется вокруг Солнца неравномерно, имея в перигелии бо́льшую линейную скорость, чем в афелии.
Каждый год в начале января Земля, проходя через перигелий, движется быстрее, поэтому видимое перемещение Солнца по эклиптике к востоку также происходит быстрее, чем в среднем за год. В начале июля Земля, проходя афелий, движется медленнее, поэтому и перемещение Солнца по эклиптике замедляется. Закон площадей указывает, что сила, управляющая орбитальным движением планет, направлена к Солнцу.
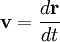
По определению угловой момент
точечной частицы с массой m и скоростью
записывается в виде:
.
где
- радиус-вектор частицы а
- импульс частицы.
По определению
.
В результате мы имеем
.
Продифференцируем обе части уравнения по времени
поскольку векторное произведение параллельных векторов равно нулю. Заметим, что F всегда параллелен r, поскольку сила радиальная, и p всегда параллелен v по определению. Таким образом можно утверждать, что
- константа.
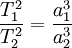
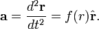
Третий закон Кеплера (Гармонический закон)
Квадраты периодов обращения планет вокруг Солнца относятся, как кубы больших полуосей орбит планет.
,
где T1 и T2 — периоды обращения двух планет вокруг Солнца, а a1 и a2 — длины больших полуосей их орбит.
Ньютон установил, что гравитационное притяжение планеты определенной массы зависит только от расстояния до неё, а не от других свойств, таких, как состав или температура. Он показал также, что третий закон Кеплера не совсем точен — в действительности в него входит и масса планеты:
,
где M – масса Солнца, а m1 и m2 – массы планет.
Поскольку движение и масса оказались связаны, эту комбинацию гармонического закона Кеплера и закона тяготения Ньютона используют для определения массы планет и спутников, если известны их орбиты и орбитальные периоды.
Шестью элементами, определяющими гелиоцентрическую невозмущённую О. н. т. Р (рис.), являются:
наклон орбиты к плоскости эклиптики i.
Может иметь любое значение от 0 до 180°; наклон считается меньшим 90°, если для наблюдателя, находящегося в северном полюсе эклиптики, движение планеты имеет прямое направление (против часовой стрелки), и большим 90° при обратном движении. Долгота узла W. Это — гелиоцентрическая долгота точки, в которой планета пересекает эклиптику, переходя из Южного полушария в Северное (восходящий узел орбиты). Долгота узла может принимать значения от 0 до 360°.Большая полуось орбиты а. Иногда вместо а в качестве элемента орбиты принимается среднее суточное движение n (дуга орбиты, проходимая телом за сутки). Эксцентриситет орбиты е. Если b – малая полуось орбиты, то е =
/a. Вместо эксцентриситета иногда принимают угол эксцентриситета j, который определяется соотношением sin j = е. Расстояние перигелия от узла (или аргумента перигелия) w. Это гелиоцентрический угол между восходящим узлом орбиты и направлением на перигелий орбиты, измеряемый в плоскости орбиты в направлении движения планеты; может иметь любые значения от 0 до 360°. Вместо элемента w применяется также долгота перигелия p = W + w. Элемент времени, т. е. эпоха (дата), в которую планета находится в определённой точке орбиты. В качестве такого элемента может служить, например, момент t, в который планета проходит перигелий. Положение планеты на орбите определяется аргументом широты и, который представляет собой угловое расстояние планеты вдоль орбиты от восходящего узла, или истинной аномалией v —угловым расстоянием планеты от перигелия. Аргумент широты меняется от 0 до 360° в направлении движения планеты. Аналогичными элементами определяются орбиты комет, Луны, спутников планет, компонентов двойных звёзд, Солнца в Галактике и др. небесных тел.
МЕТОДЫ КОСМИЧЕСКОЙ ГЕОДЕЗИИ
Основным методом космической геодезии является одновременное наблюдение спутника с наземных пунктов. При этом измеряются самые разнообразные параметры относительно положения пунктов и спутников. Параметрами могут служить дальность, скорость изменения дальности (или радиальная скорость), угловая ориентация линии визирования пункт—спутник в какой-либо системе координат, скорость изменения углов и т. д. Измерительные средства располагаются на наземных пунктах. На спутнике же размещается аппаратура, обеспечивающая работу этих измерительных средств. Спутник — это вспомогательный маяк для проведения измерений относительно положения опорных пунктов, причем этот маяк может быть как пассивным, так и активным. В первом случае спутник, освещенный солнцем или имеющий специальную лампу-вспышку, фотографируется с наземных пунктов на фоне звездного неба.
Синхронные наблюдения искусственных спутников Земли, наблюдения искусственных космических объектов, выполняемые одновременно из двух или более точек земной поверхности ведутся методами, позволяющими определять либо направление на спутник (позиционные наблюдения), либо расстояние до него (дальномерные наблюдения), либо обе эти величины одновременно. Результаты таких наблюдений используются для решения астрономических, геофизических и особенно геодезических задач. Направления на ИСЗ, определённые одновременно с двух станций наблюдений, положения которых известны в той или иной системе координат, позволяют вычислить координаты спутника в той же системе и положение плоскости, проходящей через обе станции и спутник (т. н. плоскость синхронизации). Если известны координаты только одной станции, то такие наблюдения позволяют определить положение плоскости синхронизации. Пересечение двух таких плоскостей (вычисленных по результатам двух наблюдений одного и того же или разных ИСЗ) определяет направление земной хорды, соединяющей обе станции. Если одновременно с позиционными (хотя бы с одной станции) производятся дальномерные наблюдения, появляется возможность вычислить все элементы треугольника с вершинами в двух станциях наблюдений и ИСЗ (т. н. космического треугольника), в том числе и расстояние между станциями. Наблюдения последнего типа позволяют по известным координатам одной, опорной, станции определить координаты второй станции, удалённой от первой на тысячи км; описанный метод спутниковой геодезии называют способом геодезических векторных ходов. Поскольку осуществление наблюдений строго в одни и те же моменты времени на станциях, удалённых на большие расстояния друг от друга, крайне сложно, наблюдения проводят в одни и те же интервалы времени (с точностью до десятых и сотых долей секунды), а затем результаты приводят к одним и тем же моментам математическим путём. Одновременность наблюдений спутника с нескольких пунктов обеспечивается специальным синхронизирующим устройством, которое по сигналам единого времени производит одновременное открывание и закрывание затворов фотокамер. Наличие на фотографии изображений звезд (в виде точек) и следа спутника в виде пунктирной линии позволяет путем графических измерений определить взаимное положение штрихов пунктирной линии, соответствующих положениям спутника, и ближайших к ним точек, соответствующих звездам. Это дает возможность, зная положение звезд по звездному каталогу, определить координаты штрихов спутника или, точнее, угловую ориентацию линий визирования наблюдательный пункт—спутник. Совокупность угловых координат линии визирования пункт—спутник позволяет определить взаимную угловую ориентацию геодезических пунктов. Ориентация всей сети на поверхности Земли требует знания координат хотя бы одного пункта, определяемых классическими методами, и дальности до другого или координат двух пунктов, называемых базисными. - Для преодоления неблагоприятных метеорологических условий при оптических наблюдениях спутника используются радиотехнические средства. В этом случае спутник является как бы активным маяком. Применяются различные принципы измерений: эффект Доплера, смещение фаз радиосигналов спутника, принимаемых в различных точках пункта, время распространения сигнала пункт—спутник—пункт и т. д.
















