48843 (566544), страница 2
Текст из файла (страница 2)
- Формування вектора значеннь аргумента;
- Сама побудова графіка після відповідного заповнення полів: значення аргументу (-тів) та значення функції (-цій). Аргументи, в свою чергу, можуть бути функцією іншого аргумента.
Ця кнопка дозволяє побудувати графіки у полярних координатах.
Якщо аргумент являє собою кут, який змінюється в межах від 0 до 360, а значення функції має період, то краще використовувати саме цей вид графіків.
За допомогою цієї кнопки ми маємо змогу створити графік поверхні, тобто, відобразити функцію двох змінних.
На відміну від декартового графіка графіки цього виду будуються у сім кроків:
- Задання виду функції двох змінних;
- Нумерація вузлів сітки-поверхні по першому аргументу;
- Формування вектора першого аргументу;
- Нумерація вузлів сітки-поверхні по другому аргументу;
- Формування вектора другого аргументу;
- Заповнення матриці значеннями функції у вузлах сітки;
- Побудова і формування графіка поверхні.
Дуже часто корисно подивитися не графік поверхні а карту ліній рівня, котрі подібні лініям на фізичній географічній карті, оточують гори та впадини (максимуми та мінімуми). Саме ця кнопка може вам допомогти реалізувати. Якщо області графіка залити кольором, то схожість з картою буде повна.
Замість ліній графіка можна поставити маленькі стрілочки, котрі відмічають напрям зміни функції двох змінних. Тоді отримаємо векторне поле.
Своєрідним гібридом декартового графіка та графіка поверхні є, так званий, тривимірний точковий графік. Його головна відмінність від графіків, котрі відображають прямокутні матриці, полягає в тому, що з його допомогою можна зобразити взаємозв’язки трьох векторів. За допомогою тривимірного точкового графіка можливо візуалізувати матрицю.
Елементи матриці (або вектора) можна уподобити стовпчикам, розставити їх на плоскій поверхні двох аргументів, цим самим отримати тривимірну стовпчикову діаграму.
Навівши курсор миші на область декартового графіка і натиснувши два рази ліву кнопку миші, перед вами з’явиться панель настройок (рис. 3). На ній існують такі закладки:
X-Y Axes (X-Y вісі) – управління опціями вісей;
Traces- управлінння лініями графіка;
Labels (Надписи) - управління мітками (надписами) на осях;
Defaults (По замовчуванню) – установка опцій “по умолчанию”.
Форматування осей графіка
У панелі X-Y Axes існують наступні основні опції, які відносяться до вісей Х та Y:
Рис. 3. Панель настройок декартового графіка.
- Log Scale (Лог. масштаб) - установка логарифмічного масштабу;
- Crid Lines (Лінії сітки) - установка ліній масштабної сітки;
- Numbered (Занумеровати) - установка цифрових даних по вісям;
- Autoscale (Автомасштаб) - автоматичне масштабування графіка;
- Show Markers (Нанести риски) - установка поділок на осях;
- Auto Grid (Автосітка) - автоматична установка масштабних ліній;
- No. of Grids (Число інтервалів) - установка заданого числа масштабних ліній.
Всі ці опції досить очевидні. Відмітимо лише те, що якщо опція Grid Lines відключена, то масштабна сітка графіку не будується, хоча на вісях розташовуються короткі поділки. Опція Numbered забезпечує редагування цифрових даних (вказівок на масштаб).
Наприклад, вона корисна для округлення нижньої та верхньої межі зміни значень абсцис та ординат, які при автоматичному виборі масштабу можуть бути десятковими числами з дробовою частиною.
Можлива також установка наступних опцій координатних осей (Axes Style):
- Boxed (Рамка) - осі у вигляді прямокутника;
- Crossed (Репер) - осі у вигляді хреста;
- None (Нічого) - відсутність осей;
- Equal Scales (Рівні поділки) - установка рівності масштабів по вісям графіка.
Форматування ліній графіків
Наступна панель, Traces (Графіки) служить для управління виглядом ліній, якими будується графік. За допомогою опцій цієї панелі можливо керувати наступними параметрами ліній графіка:
- Legend Label (Ім’я кривої) - установка типу ліній у віси ординат;
- Symbol (Маркер) - вибір символа, який розміститься на лінії;
- Line (Лінія) - установка типу ліній;
- Color (Колір) - Колір лінії;
- Type (Тип) - тип графіків;
- Weight (Товщина) - товщина ліній.
В середній частині вікна опцій формату міститься каталог ліній графіків з вказанням на наступні їх установки:
- Symbol (Маркер) - установка символу мітки базових точок графіку;
- Line (Лінія) - установка типу лінії;
- Color (Колір) - установка коліру лінії та базових точок;
- Trace type (Тип) - установка типу графіка.
Вузлові точки графіків (для яких обраховуються координати) часто потрібно виділити якою-небудь фігурою (ромбом, прямокутником і т.д.). Опція Symbol (Маркер) дозволяє задати наступні мітки базових точок графіка кожної із функцій:
- none (нічого) - без мітки;
- x's - нахилений хрест;
- +'х - прямий хрест;
- box (квадрат) - квадрат;
- dmnd (ромб) - ромб;
- o's - коло.
Графіки окремих функцій можливо також виділяти, використовуючи для їх побудови лінії різного типу.
Опція Line задає побудову наступних типів ліній:
- none (нічого) - лінія не будується;
- solid (суцільна) - неперервна лінія;
- dash (пунктир) - пунктирна лінія;
- dadot (штрих-пунктир) - штрих-пунктирна лінія.
Задання типу ліній графіків
Важливе значення має тип графіка. Опція Туре (Тип) задає наступні типи графіка:
- line (лінія) - побудова лініями;
- points (точки) - побудова точками;
- err (інтервали) - побудова вертикальними лініями з оцінкою інтервалу похибок;
- bar (стовпчик) - побудова у вигляді стовпчиків гістограм;
- step (сходинка) - побудова ступінчатою лінією;
- draw (протяжка) - побудова протяжкою від точки до точки.
Можливі конфлікти з міткою символами та типами ліній автоматично виправляються. При цьому пріоритет віддається опції Type (Тип), а конфліктні типи ліній або точок помічаються трьома зірочками. Кожна із вказаних опцій має своє меню з традиційними правилами його використання. Ще дві опції пов’язані з можливістю видалення з графіку допоміжних підписів:
Hide Argument (Сховати змінні) - ховає позначення математичних виразів по вісям графіка;
Hide Legend (Сховати імена) - ховає позначення імен кривих графіка.
Задання надписів у графіках
Панель міток Label (Надписи) дозволяє вводити у рисунок додаткові надписи. Ця панель з’являється, якщо вже створений поточний графік.
Для установки надписів служать невеликі вікна:
Title (Заголовок) - установка титульного надпису до малюнку;
X-Axis (Х-вісь) - установка надпису по вісі X;
Y-Axis (Y-вісь) - установка надпису по вісі Y.
У розділі Title містяться опції Above (Зверху) та Below (Знизу) для установки титульного надпису або над малюнком, або під ним. Активізація цих опцій задається установкою жирної крапки у кружку. Крім того, опція Show Title (Показати заголовок) дозволяє вмикати або вимикати відображення титульного надпису. Для її активізації служить квадратне віконце, пусте при відмові від виводу надпису і з хрестом - при виводі надпису.
Графічні установки по замовчуванню
Панель Defaults (По замовчуванню) служить для установки опцій графіків Change to Defaults (Повернути значення по замовчуванню) і Use for Defaults (Використовувати для значень по замовчуванню). Встановлені та зафіксовані опції використовуються в подальшому при побудові графіків функцій однієї змінної. За допомогою комбінацій цих опцій можливо створювати різноманітні види графіків, наприклад: з відображенням функції чи ні, з відображенням аргументу або без нього та ін. Аналогічні панелі інших видів графіків схожі у своєму принципі, відрізняються вони тільки завдяки особливостям того чи іншого типу графіку.
4. Практична (розрахункова) частина
Загальна робота.
1.Будуємо графіки :
а)для цього на панелі “Графики” нажимаємо дану конопку.
б)отримаємо вікно,де пишемо біля нижньої осі х,а відповідно біля лівої нашу функцію. Проробляємо таку процедуру і для інших функцій.
2.Знаходимо графічним способом корені рівняння.
Проробляємо аналогічну операцію,описану вище.
З даного графіка можемо найти корені рівняння.
3.Знайти графічним способом розв’язки нерівностей. Аналогічно.
4.Знаходимо похідні.
Для цього робимо активним вікно “Матанализ”,де вибираємо
При цьому будемо використовувати панель “Вычисление”,а саме:
5.Знаходимо інтеграли.
Робимо активне вікно “Матанализ”. Вибираємо необхідне нам інтегрування з межами або без них.
Індивідуальне завдання.
Варіант №8.
1.Зображаємо графічно точки перетину.
Для цього виконуємо пункт 1 а) з загальних завдань.
Далі на лівій осі пишемо наші дані функції,а на нижній відповідно х,х.
2.Розв’язуємо графічно нерівності.
Проводимо аналогічну операцію,як і при побудові графіка.
3.Зображаємо графічну функціональну залежність.
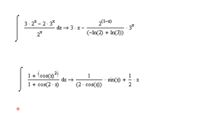
4.Беремо інтеграли.
Проробляємо операцію,описану в пункті 5 загальних завдань. Отримуємо.
5.Знаходимо похідні.
Виконуємо завдання спираючись на пункт 4 загальних завдань.
5. Висновки за результатами виконання роботи
Виконуючи дану лабораторну роботу було виконано наступні завдання:
1. Зображення графічно точок перетину.
2. Розв’язання графічно нерівностей.
3. Зображення графічно функціональної залежності.
4. Знаходження інтеграла.
5. Знаходження похідної.
Освоїв інтегрування та диференціювання за допомогою засобів MathCAD.
Навчився застосовувати графічні методи розв’язку рівнянь та нерівностей.
6. Бібліографічний список
1. В.Ф.Очков MathCad PLUS 6.0 для студентов и инженеров. - М.:ТОО Компьютер Пресс, 1996- 238 с.















