РГР2 (553949)
Текст из файла
Московский Авиационный Институт (Технический Университет)
Расчетно-графическая работа по ОТЦ.
Задание №2. Вариант №8 (36).
Выполнила студентка группы 04-215
Малкова Екатерина Сергеевна
Москва
-
2008-
Задание.
Анализ переходных процессов в колебательном контуре с помощью динамических уравнений
Для схемы, выданной преподавателем, выполнить:
1) Составить систему динамических уравнений методом переменных состояния.
2) Составить динамическое уравнение «вход-выход» с помощью метода узловых напряжений.
3) Определить независимые начальные условия исходя из формы входного воздействия.
4) Найти реакцию на заданном элементе колебательного контура путем решения системы динамических уравнений или динамического уравнения «вход-выход» с учетом начальных условий.
5) Построить график реакции колебательного контура на заданное входное воздействие.
6) По графику переходного процесса определить параметры колебательного контура: резонансную частоту
, добротность Q, полосу пропускания
.
7) Сделать выводы по проделанной работе:
- провести анализ полученных динамических уравнений;
- сравнить характеристики колебательного контура, полученные в пункте 6 с результатами анализа колебательного контура методом комплексных амплитуд;
- провести анализ вида реакции колебательного контура на заданное входное воздействие.
В
ариант №8 (36)
Дано:
Параметры контура:
Воздействие:
Найти:
1) Составить систему динамических уравнений методом переменных состояния
Заменим емкость на источник напряжения, а индуктивность на источник тока.
Найдем напряжение на источнике тока и ток через источник напряжения методом наложения. Получим три схемы:
Получим систему динамических уравнений:
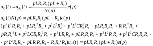
2) Составить динамическое уравнение «вход-выход» с помощью метода узловых напряжений.
Решим полученную систему методом Крамера.
Заменим
и получим уравнение вход-выход
3) Определить независимые начальные условия исходя из формы входного воздействия.
При
можно заменить индуктивность проводом, а емкость – разрывом. Тогда
,
Напряжение на емкости не может измениться скачком, поэтому
.
4) Найти реакцию на заданном элементе колебательного контура путем решения системы динамических уравнений или динамического уравнения «вход-выход» с учетом начальных условий.
Решим однородное дифференциальное уравнение
Таким образом
Так как
и
- комплексно сопряженные величины, то их можно представить в виде
5) Построить график реакции колебательного контура на заданное входное воздействие.
6) По графику переходного процесса определить параметры колебательного контура: резонансную частоту
, добротность Q, полосу пропускания
.
Найдем период колебаний, величина, обратная периоду и есть резонансная частота.
Найдем добротность:
7) Сделать выводы по проделанной работе:
Полученные данные сходятся с данными, полученными физическим анализом, и данными, заданными для выполнения предыдущего задания. Таким образом, до скачка, напряжение на конденсаторе было равно
, также
, так как напряжение на емкости не может изменяться скачком. После скачка возникают затухающие колебания, как можно увидеть из графика, при этом
,
0
Характеристики
Тип файла документ
Документы такого типа открываются такими программами, как Microsoft Office Word на компьютерах Windows, Apple Pages на компьютерах Mac, Open Office - бесплатная альтернатива на различных платформах, в том числе Linux. Наиболее простым и современным решением будут Google документы, так как открываются онлайн без скачивания прямо в браузере на любой платформе. Существуют российские качественные аналоги, например от Яндекса.
Будьте внимательны на мобильных устройствах, так как там используются упрощённый функционал даже в официальном приложении от Microsoft, поэтому для просмотра скачивайте PDF-версию. А если нужно редактировать файл, то используйте оригинальный файл.
Файлы такого типа обычно разбиты на страницы, а текст может быть форматированным (жирный, курсив, выбор шрифта, таблицы и т.п.), а также в него можно добавлять изображения. Формат идеально подходит для рефератов, докладов и РПЗ курсовых проектов, которые необходимо распечатать. Кстати перед печатью также сохраняйте файл в PDF, так как принтер может начудить со шрифтами.















