РГР2 (553940)

Файл №553940 РГР2 (Вариант 36)РГР2 (553940)2015-11-20СтудИзба
Просмтор этого файла доступен только зарегистрированным пользователям. Но у нас супер быстрая регистрация: достаточно только электронной почты!

Текст из файла

Московский Авиационный Институт (Технический Университет)

Расчетно-графическая работа по ОТЦ.

Задание №2. Вариант №8 (36).

Выполнила студентка группы 04-215

Малкова Екатерина Сергеевна

Москва

- 2008-

Задание.

Анализ переходных процессов в колебательном контуре с помощью динамических уравнений

Для схемы, выданной преподавателем, выполнить:

1) Составить систему динамических уравнений методом переменных состоя­ния.

2) Составить динамическое уравнение «вход-выход» с помощью метода узло­вых напряжений.

3) Определить независимые начальные условия исходя из формы входного воздействия.

4) Найти реакцию на заданном элементе колебательного контура путем реше­ния системы динамических уравнений или динамического уравнения «вход-выход» с учетом начальных условий.

5) Построить график реакции колебательного контура на заданное входное воздействие.

6) По графику переходного процесса определить параметры колебательного контура: резонансную частоту , добротность Q, полосу пропускания .

7) Сделать выводы по проделанной работе:

- провести анализ полученных динамических уравнений;

- сравнить характеристики колебательного контура, полученные в пункте 6 с результатами анализа колебательного контура методом комплексных ам­плитуд;

- провести анализ вида реакции колебательного контура на заданное входное воздействие.

В ариант №8 (36)

Дано:

Параметры контура:

Воздействие:

Найти:

1) Составить систему динамических уравнений методом переменных состоя­ния

Заменим емкость на источник напряжения, а индуктивность на источник тока.

Найдем напряжение на источнике тока и ток через источник напряжения методом наложения. Получим три схемы:

Где необходимо найти и

Заменим

Получим систему динамических уравнений:

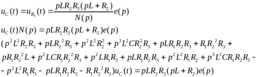
2) Составить динамическое уравнение «вход-выход» с помощью метода узло­вых напряжений.

Заменим , получим

Решим полученную систему методом Крамера.

Заменим и получим уравнение вход-выход

3) Определить независимые начальные условия исходя из формы входного воздействия.

При можно заменить индуктивность проводом, а емкость – разрывом. Тогда ,

,

Напряжение на емкости не может измениться скачком, поэтому .

4) Найти реакцию на заданном элементе колебательного контура путем реше­ния системы динамических уравнений или динамического уравнения «вход-выход» с учетом начальных условий.

Решим однородное дифференциальное уравнение

Таким образом

, где

Найдем и .

Так как и - комплексно сопряженные величины, то их можно представить в виде

, таким образом

То есть ,

Получим функцию

5) Построить график реакции колебательного контура на заданное входное воздействие.

6) По графику переходного процесса определить параметры колебательного контура: резонансную частоту , добротность Q, полосу пропускания .

Найдем период колебаний, величина, обратная периоду и есть резонансная частота.

Найдем добротность:

7) Сделать выводы по проделанной работе:

Полученные данные сходятся с данными, полученными физическим анализом, и данными, заданными для выполнения предыдущего задания. Таким образом, до скачка, напряжение на конденсаторе было равно , также , так как напряжение на емкости не может изменяться скачком. После скачка возникают затухающие колебания, как можно увидеть из графика, при этом ,

0


Характеристики

Тип файла
Документ
Размер
850 Kb
Материал
Тип материала
Высшее учебное заведение

Тип файла документ

Документы такого типа открываются такими программами, как Microsoft Office Word на компьютерах Windows, Apple Pages на компьютерах Mac, Open Office - бесплатная альтернатива на различных платформах, в том числе Linux. Наиболее простым и современным решением будут Google документы, так как открываются онлайн без скачивания прямо в браузере на любой платформе. Существуют российские качественные аналоги, например от Яндекса.

Будьте внимательны на мобильных устройствах, так как там используются упрощённый функционал даже в официальном приложении от Microsoft, поэтому для просмотра скачивайте PDF-версию. А если нужно редактировать файл, то используйте оригинальный файл.

Файлы такого типа обычно разбиты на страницы, а текст может быть форматированным (жирный, курсив, выбор шрифта, таблицы и т.п.), а также в него можно добавлять изображения. Формат идеально подходит для рефератов, докладов и РПЗ курсовых проектов, которые необходимо распечатать. Кстати перед печатью также сохраняйте файл в PDF, так как принтер может начудить со шрифтами.

Список файлов курсовой работы

Свежие статьи
Популярно сейчас
Как Вы думаете, сколько людей до Вас делали точно такое же задание? 99% студентов выполняют точно такие же задания, как и их предшественники год назад. Найдите нужный учебный материал на СтудИзбе!
Ответы на популярные вопросы
Да! Наши авторы собирают и выкладывают те работы, которые сдаются в Вашем учебном заведении ежегодно и уже проверены преподавателями.
Да! У нас любой человек может выложить любую учебную работу и зарабатывать на её продажах! Но каждый учебный материал публикуется только после тщательной проверки администрацией.
Вернём деньги! А если быть более точными, то автору даётся немного времени на исправление, а если не исправит или выйдет время, то вернём деньги в полном объёме!
Да! На равне с готовыми студенческими работами у нас продаются услуги. Цены на услуги видны сразу, то есть Вам нужно только указать параметры и сразу можно оплачивать.
Отзывы студентов
Ставлю 10/10
Все нравится, очень удобный сайт, помогает в учебе. Кроме этого, можно заработать самому, выставляя готовые учебные материалы на продажу здесь. Рейтинги и отзывы на преподавателей очень помогают сориентироваться в начале нового семестра. Спасибо за такую функцию. Ставлю максимальную оценку.
Лучшая платформа для успешной сдачи сессии
Познакомился со СтудИзбой благодаря своему другу, очень нравится интерфейс, количество доступных файлов, цена, в общем, все прекрасно. Даже сам продаю какие-то свои работы.
Студизба ван лав ❤
Очень офигенный сайт для студентов. Много полезных учебных материалов. Пользуюсь студизбой с октября 2021 года. Серьёзных нареканий нет. Хотелось бы, что бы ввели подписочную модель и сделали материалы дешевле 300 рублей в рамках подписки бесплатными.
Отличный сайт
Лично меня всё устраивает - и покупка, и продажа; и цены, и возможность предпросмотра куска файла, и обилие бесплатных файлов (в подборках по авторам, читай, ВУЗам и факультетам). Есть определённые баги, но всё решаемо, да и администраторы реагируют в течение суток.
Маленький отзыв о большом помощнике!
Студизба спасает в те моменты, когда сроки горят, а работ накопилось достаточно. Довольно удобный сайт с простой навигацией и огромным количеством материалов.
Студ. Изба как крупнейший сборник работ для студентов
Тут дофига бывает всего полезного. Печально, что бывают предметы по которым даже одного бесплатного решения нет, но это скорее вопрос к студентам. В остальном всё здорово.
Спасательный островок
Если уже не успеваешь разобраться или застрял на каком-то задание поможет тебе быстро и недорого решить твою проблему.
Всё и так отлично
Всё очень удобно. Особенно круто, что есть система бонусов и можно выводить остатки денег. Очень много качественных бесплатных файлов.
Отзыв о системе "Студизба"
Отличная платформа для распространения работ, востребованных студентами. Хорошо налаженная и качественная работа сайта, огромная база заданий и аудитория.
Отличный помощник
Отличный сайт с кучей полезных файлов, позволяющий найти много методичек / учебников / отзывов о вузах и преподователях.
Отлично помогает студентам в любой момент для решения трудных и незамедлительных задач
Хотелось бы больше конкретной информации о преподавателях. А так в принципе хороший сайт, всегда им пользуюсь и ни разу не было желания прекратить. Хороший сайт для помощи студентам, удобный и приятный интерфейс. Из недостатков можно выделить только отсутствия небольшого количества файлов.
Спасибо за шикарный сайт
Великолепный сайт на котором студент за не большие деньги может найти помощь с дз, проектами курсовыми, лабораторными, а также узнать отзывы на преподавателей и бесплатно скачать пособия.
Популярные преподаватели
Добавляйте материалы
и зарабатывайте!
Продажи идут автоматически
7027
Авторов
на СтудИзбе
260
Средний доход
с одного платного файла
Обучение Подробнее