Билеты на экзамен (552425), страница 3
Текст из файла (страница 3)
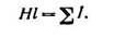
Если замкнутый контур суммирования совпадает с магнитной линией, то вектор напряженности в любой точке контура будет направлен по касательной к элементу длины
.
В этом случае
Если значение напряженности для всех точек контура при этом одинаково, а сумма
по контуру равна l , то закон полного тока запишется так:
Закон полного тока является основным законом при расчете магнитных цепей и дает возможность в некоторых случаях легко определять напряженность поля.
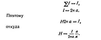
Например, применяя закон полного тока для определения напряженности на расстоянии а от прямолинейного проводника с током, имеем:
Эта же формула была нами получена из закона Био и Савара. Чтобы определить напряженность поля внутри катушки, намотанной на кольцо (фиг. 90), воспользуемся опять законом полного тока. Контуром здесь является окружность радиуса л Контур пронизывает w проводников с токами одного направления:
Таким образом, напряженность поля катушки пропорциональна произведению числа ампер на число витков или числу ампер-витков. Iw называется намагничивающей силой (НС) и обозначается буквой F Так как w — число отвлеченное, то намагничивающая сила измеряется в амперах.
Магнитная индукция внутри катушки будет:
Если площадь поперечного сечения кольца по всей длине одинакова и равна S, то, зная магнитную индукцию В, можно определить магнитный поток Ф:
Из этой формулы видно, что магнитное сопротивление пропорционально длине пути и обратно пропорционально сечению материала, по которому проходит магнитный поток.Таким образом, магнитный поток Ф пропорционален намагничивающей силе F и обратно пропорционален магнитному сопротивлению Rм:
13. Магнитное поле движущегося заряда. Действие магнитного поля на движущийся заряд. Сила Лоренца.
14. Контур с током в магнитном поле Механический и магнитный момент контура с током. Магнитный поток. Работа перемещения контура с током в магнитном поле.
15.Явление электромагнитной индукции. Закон Фарадея и правило Ленца. Явление самоиндукции и взаимной индукции.
При изменении магнитного потока через поверхность ограниченную контуром возникает ЭДС.
Причины
– самоиндукция
-изменяется контур
Причина появления сторонних сил при движении проводника – совместное действие силы Лоренца и механических сил. При изменении магнитной индукции сторонние силы возникают благодаря вихревому полю. Если контур проводящий, то в нем возникает индукционный ток.
Закон Фарадея.
ЭДС в контуре равна скорости изменения магнитного потока через поверхность ограниченную контуром.
Εп=-(dφ/dt).
Если Εп больше 0, то направление сторонних сил совпадает с направлением обхода.
Правило Ленца.
Индукционный ток направлен так, что он противодействует причине его вызывающих сил.
Магнитное поле индукционного тока частично компенсирует изменение внешнего потока.
ЭДС в движущимся проводнике Εп=-(dφ/dt) .
- dφ магнитный поток через поверхность проводника за dt .
Если B┴проводнику то Еv=VBcsin£ ∆φ=Eп .
Явление самоиндукции.
Возникновение ЭДС в контуре при изменении силы тока называют самоиндукцией. B~I
L - Индуктивность. Коэффициент пропорциональности между силой тока и магнитным потоком через поверхность ограниченную контуром называют индуктивностью. L=φ/I [L]=[ГН] генри
При наличии катушки в контуре индуктивность примерно равна индуктивности катушки.
L=φ/I =N(φ/I) φ=BS
L=μ0(N2S/l)
Взаимная индукция – возникновение ЭДС в одном контуре при изменении силы тока в другом контуре.
Явление взаимной индукции применяется в трансформаторе
17.Энергия магнитного поля. Собственная энергия тока.
Энергия магнитного поля
Магнитное поле обладает энергией. Подобно тому, как в заряженном конденсаторе имеется запас электрической энергии, в катушке, по виткам которой протекает ток, имеется запас магнитной энергии.
Если включить электрическую лампу параллельно катушке с большой индуктивностью в электрическую цепь постоянного тока, то при размыкании ключа наблюдается кратковременная вспышка лампы. Ток в цепи возникает под действием ЭДС самоиндукции. Источником энергии, выделяющейся при этом в электрической цепи, является магнитное поле катушки.
Энергия Wм магнитного поля катушки с индуктивностью L, создаваемого током I, равна
Wм = LI2/ 2
Собственная энергия токов.
Энергия магнитного поля равна собственной энергии тока.
Собственная энергия тока численно равна работе, которую должен совершить источник тока для преодоления ЭДС самоиндукции, чтобы создать ток в цепи.
Энергия магнитного поля, созданного током, прямо пропорциональна квадрату силы тока.
После прекращения тока энергия магнитного поля выделяется ( при размыкании цепи с достаточно большой силой тока возможно возникновение искры или дуги)
1
8.Электромагнитные колебания. Свободные незатухающие колебания. Дифференциальное уравнение и его решение. Период и частота колебаний.
Период колебаний:
где L — индуктивность катушки, C — ёмкость конденсатора.
Частота колебаний - количественная характеристика периодического колебательного процесса, равная числу полных колебаний, совершаемых в единицу времени.
19.Затухающие электромагнитные колебания. Дифференциальное уравнение и его решение. Логарифмический декремент затухания. Апериодический разряд конденсатора.
Затухающие колебания-колебания, амплитуда которых постепенно уменьшается и через некоторое время колебание прекращается.
ЛОГАРИФМИЧЕСКИЙ ДЕКРЕМЕНТ ЗАТУХАНИЯ - величина, показывающая скорость затухания собственных колебаний и определяемая как натуральный логарифм отношения следующих друг за другом амплитуд колебаний.
АПЕРИОДИЧЕСКИЙ ПРОЦЕСС-переходный процесс в динамич. системе, при к-ром выходная величина, характеризующая переход системы от одного состояния к другому, либо монотонно стремится к установившемуся значению, либо имеет один экстремум.
20. Вынужденные колебания. Дифференциальное уравнение и его решение. Метод векторных диаграмм. Явление резонанса.
Вынужденные— колебания, происходящие под воздействием внешних сил, меняющихся во времени.
Закон Омадля участка b-d:
- дифференциальное уравнение вынужденных колебаний.
Метод векторных диаграмм, т. е. изображение величин, характеризующих переменный ток векторами, а не тригонометрическими функциями
Резонанс – это вынужденные электромагнитные колебания с частотой близкой к частоте колебательного контура. Амплитуда вынужденных колебаний на резонансной частоте выше чем на других частотах.
имеет наибольшее значение когда:
- резонансная частота.
21.Магнитное поле в веществе. Магнетики. Диа- , пара- и ферромагнетики. Относительная магнитная проницаемость вещества.
Всякое вещество – магнетик. В магнитном поле оно намагничивается т.е приобретает магнитный момент. Поле в веществе является векторной суммой поля, созданного веществом и поля внешних источников.
Гипотеза Ампера
В молекулах есть есть круговые токи, создающие в своей окрестности магнитное поле. В отстутствие внешнего поля круговые молекулярные токи ориентированны хаотически. Их магнитные моменты при сложении дают 0. При включении внешнего поля магнитные моменты ориентируются упорядоченно В´≠0
В´- Поле усредненное по объему с большим числом молекул.
Х – магнитная восприимчивость, способность вещества к намагничиванию.
3 группы магнетиков
-ДИАмагнетики (висмут, медь, вода) В отсутствие магнитного поля молекулы не обладают магнитным моментом. Во внешнем поле появляется индуцированный магнитный момент противоположный вектору В.
-ПАРАмагнетики (кислород, алюминий). В отсутствие поля моменты отличны от 0, но ориентированны хаотически. Внешние поле стремится соорентировать магнитные моменты вдоль вектора В. Тепловое движение нарушает порядок. Магнитная восприимчивость больше 0.
- ФЕРОмагнетики (железо, никель) кристаллические вещества обладающие намагничиванием как как при отсутствии так и при наличии магнитного поля. Для каждого ферромагнетика существует температура Квери при которой он превращается в парамагнетик. Железо- 768ос. Магнитная проницаемость — физическая величина, характеризующая связь между магнитной индукцией B и напряжённостью магнитного поля H в веществе. В общем случае зависит как от свойств вещества, так и от величины и направления магнитного поля.обозначается греческой буквой μ. вводится следующим образом:
Для изотропных веществ справедливо:
В системе СГС магнитная проницаемость — безразмерная величина, в системе СИ вводят как размерную (абсолютную), так и безразмерную (относительную) магнитные проницаемости:
где μ r — относительная, а μ — абсолютная проницаемость, μ0 — магнитная постоянная
22. Основные положения теории Максвелла. Ток смещения. Закон полного тока.
Причиной появления ЭДС индукции в неподвижном контуре является вихревое электрическое поле , она имеет замкнутые линии напряжённости. Работа поля по перемещению заряда по замконутуму контуру отлично от нуля.















