Лекции ВМСС (542592), страница 6
Текст из файла (страница 6)
Различают 2 основные класса причин возникновения неисправностей:
внутренние – неудачная конструкция, нарушение технологического процесса, износ
внешние – нарушение электроснабжения, условий эксплуатации
2 вида неисправностей:
-
отказ – длительная, не устраняющаяся самопроизвольно неисправность
-
сбой – кратковременная самоустраняющаяся неисправность
В общем случае контролируемую систему можно представить как некоторую функцию F, на вход которой подается X, а на выходе получается Y. Возможны 2 схемы контроля: когда доступен Y и когда доступны X и Y.
Доступен вход
Используют, когда Y присуще некоторое свойство, которое можно контролировать.
Входные данные модифицируются (добавляется инвариантное свойство) так, чтобы на выходе это свойство можно было проверить. Например, четность, код Хэмминга, Рида-Соломона.
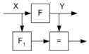
Доступны вход и выход
Возможны следующие случаи:
Самый простой способ – F1 = F (например, если контролируемая система производится массово и стоит дешево).
+: простота
–: F и F1 равны по сложности. Стоимость системы равна стоимости системы контроля. При обнаружении ошибки неясно что отказало F или F1.
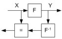
Часто это системы с резервированием. Обычно снабжаются устройством локализации неисправности (эталонные входы/выходы).
+: постоянный контроль – немедленное обнаружение ошибки
Чтобы понизить издержки на контроль и увеличить вероятность выявление ошибки именно в F, а не в F1, можно сделать F1 более простой, чем F, но по функциональности такой же.
Это выгодно, если F-1 по сложности существенно проще в реализации.
Аппаратурный контроль
Основан на использовании дополнительной контролирующей аппаратуры (аппаратурная избыточность). Возможен непрерывный контроль системы.
Возможно обнаружение и сбоев и отказов.
Прибегают к следующим схемам: резервирование, мажорирование.
Система с резервированием – система с резервными составляющими, избыточными по отношению к основной структуре и выполняющими те же функции, что и основные элементы.
Резервирование применяется когда возможны кратковременные перебои. Холодное резервирование – резервные элементы вводятся в работу только после отказа основных. Горячее резервирование – резервные элементы функционируют наравне с основными (постоянно включены в работу).
Мажорирование: самая распространенная схема – 3 машины + орган мажорантного выбора.
Программный контроль
Временная избыточность. Периодический контроль системы.
Выделяют следующие методы контроля:
-
Методы, закладываемые в алгоритм решения задачи. Неправильные данные не выдаются потребителю. Такие методы хороши для защиты от сбоев.
-
Тестовый контроль. Тест – специальная программа, цель которой – проверка работоспособности оборудования. Проверка периодическая, причем в период между проверками нет отказов. Например, тест POST. Цель таких тестов – убедиться в том. Что аппаратура способна выоплнять поставленную задачу.
Структурные методы повышения производительности
Производительность – количество задач в единицу времени. Быстродействие – быстродействие пароцессора, быстродействие памяти.
Структурные метода – как можно повысить быстродействие в рамках одной архитектуры.
Повышение быстродействия основной памяти
В самом простом случае оперативная память выполнена в виде моноблока и есть общий дешифратор адреса. Каждое обращение к памяти выполняется если закончилось предыдущее. В таком случае память – узкое место.
Секционирование памяти
Суть метода заключается в том, что память разделяется на несколько самостоятельных, функционально завершенных блоков. Каждый из них имеет свою адресную системы, свои буферы данных.
Доступ к одному сегменту может осуществляться во время обращения к другому (здесь не ставится цель увеличения емкости памяти).
Аппаратурная сложность такого устройства не равна удвоенной сложности для 1-го случая. Здесь только дублируется адресная часть и буферы данных.
Варианты функционирования системы:
-
Размещение команд и данных т.о., чтобы команды были в одном блоке, а данные в
другом. 2 действия: считывание команды и считыване данных.
Цикл работа памяти при записи: пересылка адреса и данных в память (регистр адреса и буфер), запись в ячейку памяти. Считывание: запись адреса, считывание данных.
Такое разделение может быть осуществлено на архитектурном уровне (гарвардская архитектура).
Такое решение чаще используется в специализированных машинах (цифровые сигнальные процессоры).
-
Применяют расслоение памяти
Расслоение по младшим разрядам адреса – младший разряд интерпретируется как адрес блока. Позволяет увеличить параллелизм обращения к памяти в случае, когда считываются последовательные блоки памяти.
Рассление по старшим разрядам адреса – в каждом блоке может находится некоторая содержательная единици (стек, куча, таблица констант и т.п.)
Расслоение и по старшим и по младшим
Включение в состав процессора сверхоперативной памяти
Идея основана на том, что в каждый момент времени процессор работает только с небольшой частью памяти. В АЗУ запасаются результаты обращения к некоторым ячейкам памяти. Но при этом возникает проблема поддержания соответствия между АЗУ и ОЗУ. Возможны 2 варианта: сквозная запись через АЗУ в ОЗУ или отложенная запись – сначала в АЗУ, а при освобождении ячейки АЗУ в ОЗУ. При переполнении применяется простой способ – очищение всего АЗУ.
Эффект от такого введения может быть большим. Например цикл целиком может быть помещен в ОЗУ.
Другой вариант – запись в АЗУ не отдельных ячеек, а целых строк памяти. Все ОЗУ делится на строки определенной длины, копии строк содержатся в кэше. При обращении к не представленной в кэше строке производится подкачка из ОЗУ. Групповые пересылки строк выгодны, поскольку обеспечивается быстрое считывание строк из памяти.
Для замещения используется аппаратурно организованный метод LRU. Аналогично, используются 2 схемы записи: сквозная и отложенная. Во 2-м случае копия и оригинал не совпадают.
Повышение быстродействия процессора
Рассматривается параллелизм на уровне команд – конвейерная обработка команд и векторная архитектура.
Конвейерная схема
Идея конвейерной обработки основана на том, что команда разделяется на несколько этапов, каждый из которых выполняется определенной частью аппаратуры, и все эти части могут работать параллельно.
Различают 2 схемы конвейера – синхронный и асинхронный. Синхронный конвейер – конвейер, который работает в принудительном темпе и в котором время выполнения каждого этапа строго фиксировано. Асинхронный конвейер – конвейер, в котором отсутствует единый темп работы блоков, а информация с одного блока на другой передается, когда данный блок закончит свою работу, а следующий полностью освободится от обработки предыдущей команды и полученного результата.
Рассмотрим синхронный конвейер.
Цикл выполнения команды процессором состоит из 4 этапов: считывание команды, дешифрация команды, считывание операнда, выполнение. Пусть для простоты длительность всех фаз = t. Длительность всего цикла 4t, производительность 1/4t.
Ценой небольших аппаратурных затрат можно увеличить быстродействие, если цикл сделать параллельно-последовательным (совмещенный рабочий цикл). Например, 1-ю фазу можно начинать после окончания 3-й. При этом необходимо иметь при АЛУ регистр для запоминания кода операции. Можно выделить в АЛУ местное устройство формирования управляющих сигналов. Получается, что быстродействие увеличивается на 25% при маленьких затратах.
Можно начинать следующий цикл после окончания 2-й фазы. В таком случае нужна либо раздельная память либо память в 2 раза быстрее.
Если при УУ организовать очередь команд, то очередной цикл можно начинать после завершения 1-й операции.
Различные виды архитектур по-разному приспособлены для организации параллельной обработки. Предпосылкой является информационная независимость этапов выполнения.
Можно организовать конвейерную обработку для любой операции, которую можно разбить на несколько микроопераций (например, операция деления, умножения). Аналогично можно организовать конвейер для других устройств (например, АЛУ).
Схема асинхронного конвейера на примере БЭСМ-6
Буферы – FIFO на 4-8 уровней. Каждое из устройств достаточно автономно для формирования управляющих сигналов. Как только появляется место в одном из буферов, в него подкачиваются данные.
Характерен нефиксированный темп выполнения команд.
Типовая структура векторной супер-ЭВМ
Другой вариант повышения производительности процессора – введение операций над векторами в процессор. Кроме того, можно использовать множество АЛУ – для каждого типа операции свое АЛУ.
Типова схема векторной супер-ЭВМ:
Особенности:
-
Буферные конвейеры данных
-
Векторные регистры данных
-
10-15 операционных устройств для разных операций (сдвиг, сумма, произведение и т.д.). Каждое устройство устроено по конвейерной схеме.
Многопроцессорные и многомашинные системы
Классификация Флинна:
SISD – Single Instruction Single Data – классическая машина фон Неймана
SIMD – Single Instruction Multiple Data – векторный суперкомпьютер, массивно-параллельный процессор (Illiac IV)
MIMD – Multiple Instruction Multiple Data – многопроцессорная система, многомашинная система
Многопроцессорные системы
Многопроцессорная вычислительная система – система с 2 и более вычислительными процессорами, которые оперируют с общей памятью и управлются одной ОС.
Различают симметричные и ассиметричные системы. Симметричная система состоит из одинаковых процессоров, доступ к общим ресурсам осуществляется одинаково. Ассиметричная система объединяет разнотипные процессоры.
Возможно соединение процессоров с общей памятью через шину. При этом возникают проблемы:
-
Использование общих данных
-
Организация атомарных действий с памятью
В 1-процессорных сисемах – прерывания. Здесь самый простой способ – расширение операций над памятью (синхронное считывание), организация непротиворечивого доступа к памяти.
С увеличением количества процессоров возникают проблемы: конфликты на шине, конфликты с общей памятью.
Решение проблем: улучшение программирования, использование многошинных систем.
Другой вариант – сделать схему взаимодействия с модулями памяти независимой (отказ от шинной системы). Например, каждый процессор имеет непосредственное соединение с память.
Промежуточное решение – матричный переключатель.
Более дешевый способ – гамакообразное соединение. Сложность такой системы меньше сложности матричной.
Аналогично с устройствами ввода/вывода.
Наряду с общей памятью каждый процессор может иметь свою память, в которой могут храниться программы и «индивидуальные» данные.
Еще один подход – включение в состав процессора кэша. Здесь проблема – синхронизация представленных в кэше строк.
Есть вариант SIMD. Пример Illiac IV. Одна и та же программа к разным данным. Часто такие процессоры называют матричными. В Illiac IV есть общее устройство управления, в которое поступает 1 поток команд. Комады выполняются синхронно процессорами. Каждый процессор соединен с 4 соседями. Ввод/вывод выполняется в ПВВ. Это очень специализированная система.
Другой вариант – транспьютер. Транспьютер – процессор, рассчитанный на объединение процессоров в сеть матричного типа. Для программирования язык occam.
Многомашинные системы
Многомашинные системы – системы с 2 и более законченными вычислительными машинами. Бывают однородные и неоднородные.















