mds_81-33_04 (524015), страница 3
Текст из файла (страница 3)
15.Методические указания по определению сметной стоимости строительной продукции МДС 81-1.99.
-
Методические рекомендации по определению средств на оплату труда в договорных ценах и сметах на строительство и оплате труда работников строительно-монтажных организаций МДС 83-1.99.
-
Государственные элементные сметные нормы ГЭСН-2001, ГЭСНр-2001, ГЭСНм-2001, ГЭСНп-2001.
-
Федеральные единичные расценки ФЕР-2001, ФЕРр-2001, ФЕРм-2001, ФЕРп-2001.
19.Государственная статистическая отчетность по форме № 5-з «Сведения о затратах на производство и реализацию продукции (работ, услуг) за 2002 год по 89 регионам России».
Приложение 2
ПОРЯДОК ОПРЕДЕЛЕНИЯ РАЗМЕРА СРЕДСТВ НА ОПЛАТУ ТРУДА РАБОЧИХ
Для определения размера средств на оплату труда рабочих в сметах и договорных ценах на строительство может использоваться один из следующих методов.
1. При применении ресурсного метода, когда в процессе составления локальных сметных расчетов (смет) размер средств на оплату труда в текущем (прогнозном) уровне цен требуется определить на основе показателей трудоемкости работ, выраженных в чел.-ч, используется следующая формула:
где 3 – расчетная величина средств на оплату труда рабочих в текущем (прогнозном) уровне цен по объекту (части его), учитываемая в составе прямых затрат локального ресурсного сметного расчета (сметы), руб. или тыс. руб.;
Т – трудоемкость работ (затраты труда рабочих-строителей и механизаторов), которая определяется поГЭСН-2001,чел.-ч;
Зфакт – фактическая (на момент расчета), по данным статистической отчетности, или прогнозируемая (договорная) на будущий период среднемесячная оплата труда одного рабочего (строителя и механизатора) в подрядной организации, по составу соответствующая «Методическим рекомендациям по планированию и учету себестоимости строительных работ» (приложение 7);
t – среднемесячное количество часов, фактически отработанное одним рабочим в конкретной организации, не превышающее нормативной величины, устанавливаемой уполномоченным федеральным органом исполнительной власти, ч/мес.
Указанную формулу можно использовать также при определении стоимости строительства базисно-индексным и другими методами.
2. При использовании сметной величины оплаты труда рабочих, учтенной в ТЕР (ФЕР) -2001, для определения размера средств на оплату труда рабочих может быть применена следующая формула:
где Зс и Зм – суммарная по объекту (части его) величина оплаты труда соответственно рабочих-строителей и механизаторов в уровне сметных норм и цен, на 01.01.2000 , руб. или тыс. руб.;
Иот – индекс текущего (прогнозного) уровня
средств на оплату труда в строительстве, который определяется как отношение среднемесячной фактической оплаты труда одного рабочего (3 мес/факт) к месячной оплате труда рабочего среднего разряда, учтенной в сметно-нормативной базе 2001 г.
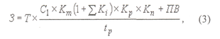
3. При применении метода определения в составе прямых затрат размера средств на оплату труда по видам и комплексам работ, конструктивным элементам и объекту в целом на основе тарифных ставок, может применяться следующая формула:
где Т – затраты труда рабочих на выполнение конкретных объемов работ по их видам, комплексам, конструктивным элементам или по объекту в целом, чел.-ч;
tр – расчетное число часов работы одного рабочего в месяц (не менее фактического и не более нормативного), ч;
С1- месячная тарифная ставка рабочего 1-го разряда при работе в нормальных условиях труда, руб.;
Кт – тарифный коэффициент соответствующего разряда работ, принимаемый по действующей тарифной сетке;
Кi – коэффициенты, учитывающие доплаты и надбавки к тарифным ставкам и окладам за работу с тяжелыми и вредными, особо тяжелыми и особо вредными условиями труда (0,12 и 0,24 соответственно), на работах по реконструкции, техническому перевооружению, капитальному ремонту, ликвидации последствий аварий и стихийных бедствий (от 0,10 до 0,25), за разъездной и подвижной характер работ (0,15-0,20 и 0,30-0,40 соответственно), надбавки за профмастерство, расширение зон обслуживания, выполнение особо важных заданий (0,16-0,24) и другие;
Кp – районный коэффициент к заработной плате, устанавливаемый законодательством;
Кп – коэффициент, учитывающий премиальные выплаты, производимые по действующим в организации системам и формам премирования, определяемый по сложившемуся уровню и принимаемый в договоре подряда по соглашению сторон;
ПВ – прочие выплаты, производимые за счет средств на оплату труда, включаемых в прямые затраты, руб./мес.
Примечания:
-
Коэффициент Кp не применяется в случаях, когда тарифные ставки и оклады в организации установлены с учетом районного коэффициента.
-
Коэффициент, учитывающий премиальные выплаты (Кп ) и размер прочих выплат (ПВ) может определяться в зависимости от удельного веса в оплате труда рабочих на основе отчетных данных.
Приложение 3
УКРУПНЕННЫЕ НОРМАТИВЫ НАКЛАДНЫХ РАСХОДОВ ПО ОСНОВНЫМ ВИДАМ СТРОИТЕЛЬСТВА
| Виды строительства | Размер накладных расходов (в процентах) от фонда оплаты труда рабочих-строителей и механизаторов | Область применения |
| Промышленное | 106 | Объекты производственного назначения для всех отраслей народного хозяйства, кроме объектов энергетического и сельскохозяйственного строительства |
| Жилищно-гражданское | 112 | Объекты жилищно-гражданского назначения для всех отраслей |
| Сельскохозяйственное | 115 | Объекты сельского хозяйства производственного назначения, за исключением водохозяйственного строительства |
| Транспортное | 110 | Объекты железнодорожного, морского, речного, автомобильного и воздушного транспорта |
| Водохозяйственное | 106 | Объекты мелиорации, включая сельхозводоснабжение |
| Энергетическое | 108 | ГЭС, ГРЭС, ТЭЦ и другие объекты |
| Атомные электростанции | 125 | Объекты с ядерными реакторами, включая атомные электростанции |
| Прочие отрасли | 100 | |
| Капитальный ремонт жилых и общественных зданий | 95 | |
| Работы по реставрации памятников истории и культуры | 110 |
Приложение 4
НОРМАТИВЫ НАКЛАДНЫХ РА СХОДОВ ПО ВИЛАМ СТРОИТЕЛЬНЫХ И МОНТАЖНЫХ РАБОТ
| №п/п | Виды строительных и монтажных работ | Нормативы накладных расходов в % к фонду оплаты труда рабочих (строителей и механизаторов) | Область применения (Номера сборников ГЭСН, ГЭСНм, ГЭСНп) (ФЕР, ФЕРм, ФЕРп) | ||||
| 1 | 2 | 3 | 4 | ||||
| 1 1.1 1.2 1.3 1.4 | Земляные работы, выполняемые: механизированным способом ручным способом с применением средств гидромеханизации по другим видам работ (подготовительным, сопутствующим, укрепительным) | 95 80 85 80 | ГЭСН-2001-01 табл. 01-01-001...138; 01-02-001...011; табл. 01-02-055...064; табл. 01-01-144...155; табл. 01-02-017...049; 01-02-065...135; | ||||
| 2 | Горновскрышные работы | 101 | ГЭСН-2001-02 | ||||
| 3 | Буровзрывные работы | 110 | ГЭСН-2001-03 | ||||
| 4 | Скважины | 112 | ГЭСН-2001-04 | ||||
| 5 5.1 5.2 5.3 | Свайные работы Опускные колодцы Закрепление грунтов | 130 87 87 | ГЭСН-2001-05, раздел 01 раздел 02 раздел 03 | ||||
| 6 6.1 6.2 | Бетонные и железобетонные монолитные конструкции в строительстве: промышленном жилищно-гражданском | 105 120 | ГЭСН-2001-06 раздел 01 (подразделы 1…14) раздел 01 (подразделы 16,17,18) | ||||
| 7 7.1 7.2 | Бетонные и железобетонные сборные конструкции в строительстве: промышленном жилищно-гражданском | 130 155 | ГЭСН-2001-07 разделы 01…04,06,07 и табл. 07-08-002, 003; раздел 05 и табл. 07-08-001,07-08-006; | ||||
| 8 | Конструкции из кирпича и блоков | 122 | ГЭСН-2001-08 | ||||
| 9 | Строительные металлические конструкции | 90 | ГЭСН-2001-09 | ||||
| 10 | Деревянные конструкции | 118 | ГЭСН-2001-10 | ||||
| 11 | Полы | 123 | ГЭСН-2001-11 | ||||
| 12 | Кровли | 120 | ГЭСН-2001-12 | ||||
| 13 | Защита строительных конструкций и оборудования от коррозии | 90 | ГЭСН-2001-13 | ||||
| 14 14.1 14.2 | Конструкции в сельском строительстве: металлические железобетонные | 90 130 | ГЭСН-2001-14 | ||||
| 14.3 14.4 | каркаснообшивные строительство теплиц | 118 103 | |||||
| 15 | Отделочные работы | 105 | ГЭСН-2001-15 | ||||
| 16 | Сантехнические работы – внутренние (трубопроводы, водопровод, канализация, отопление, газоснабжение, вентиляция и кондиционирование воздуха) | 128 | ГЭСН-2001-16 ГЭСН-2001-17 ГЭСН-2001-18 ГЭСН-2001-19 ГЭСН-2001-20 | ||||
| 17 | Временные сборно-разборные здания и сооружения | 96 | ГЭСН-2001-21 | ||||
| 18 | Наружные сети водопровода, канализации, теплоснабжения, газопроводы | 130 | ГЭСН-2001-22 ГЭСН-2001-23 ГЭСН-2001-24 | ||||
| 19 | Магистральные и промысловые трубопроводы | 120 | ГЭСН-2001-25 | ||||
| 20 | Теплоизоляционные работы | 100 | ГЭСН-2001-26 | ||||
| 21 | Автомобильные дороги | 142 | ГЭСН-2001-27 (кроме раздела 10) | ||||
| 22 | Железные дороги | 114 | ГЭСН-2001-28 | ||||
| 23 23.1 23.2 | Тоннели и метрополитены - закрытый способ работ - открытый способ работ | 145 125 | ГЭСН-2001-29 | ||||
| 24 | Мосты и трубы | 110 | ГЭСН-2001-30 | ||||
| 25 | Аэродромы | 115 | ГЭСН-2001-31 | ||||
| 26 | Трамвайные пути | 112 | ГЭСН-2001-32 | ||||
| 27 | Линии электропередачи | 105 | ГЭСН-2001-33 | ||||
| 28 28.1 28.2 28.3 | Сооружения связи, радиовещания и телевидения: прокладка и монтаж сетей связи монтаж радиотелевизионного и электронного оборудования прокладка и монтаж междугородных линий связи | 100 92 120 | ГЭСН-2001-34 ГЭСНм-2001-10 (отдел 06, раздел 2, раздел 3 (при прокладке городских волоконно-оптических кабелей), раздел 5 ГЭСНм-2001-10 (отделы 04, 05) ГЭСНм-2001-11 (отдел 04) ГЭСНм-2001-10 (отдел 06, раздел 1, раздел 3 (при прокладке междугородных (зоновых) волоконно-оптических кабелей) | ||||
| 29 29.1 29.2 | Горнопроходческие работы: в угольной промышленности в других отраслях | 108 95 | ГЭСН-2001-35 | ||||
| 30 | Земляные конструкции гидротехнических сооружений | 95 | ГЭСН-2001-36 | ||||
| 31 | Бетонные и железобетонные конструкции гидротехнических сооружений | 120 | ГЭСН-2001-37 | ||||
| 32 | Каменные конструкции гидротехнических сооружений | 122 | ГЭСН-2001-38 | ||||
| 33 | Металлические конструкции гидротехнических сооружений | 90 | ГЭСН-2001-39 | ||||
| 34 | Деревянные конструкции гидротехнических сооружений | 118 | ГЭСН-2001-40 | ||||
| 35 | Гидроизоляционные работы в гидротехнических сооружениях | 104 | ГЭСН-2001-41 | ||||
| 36 | Берегоукрепительные работы | 89 | ГЭСН-2001-42 | ||||
| 37 | Судовозные пути стапелей и слипов | 97 | ГЭСН-2001-43 | ||||
| 38 | Подводностроительные (водолазные) работы | 115 | ГЭСН-2001-44 | ||||
| 39 | Промышленные печи и трубы | 105 | ГЭСН-2001-45 | ||||
| 40 | Озеленение. Защитные лесонасаждения | 115 | ГЭСН-2001-47 | ||||
| 41 | Скважины на нефть и газ | 108 | ГЭСН-2001-48 | ||||
| 42 | Скважины на нефть и газ в морских условиях | 108 | ГЭСН-2001-49 | ||||
| 43 | Монтаж оборудования | 80 | ГЭСНм-2001-1...7, ГЭСНм-2001-9, ГЭСНм-2001-10 (отделы 01...03, раздел 4 отдела 06, отделы 08...09), ГЭСНм-2001-11 (кроме отдела 04), ГЭСНм-2001-12 (кроме отдела 18), ГЭСНм-2001-14...19, 21...37, ГЭСНм-2001-39 (кроме контроля монтажных сварных соединений при монтаже оборудования АЭС), ГЭСНм-2001-413; | ||||
| 44 | Монтаж оборудования на атомных электростанциях | 101 | ГЭСНм-2001-13,39 (контроль монтажных сварных соединений при монтаже оборудования АЭС) | ||||
| 45 45.1 45.2 | Электромонтажные работы: на атомных электростанциях на других объектах | 110 95 | ГЭСНм-2001-8 ГЭСНм-2001-8, ГЭСНм-2001-20 (отдел 02) | ||||
| 46 | Устройство сигнализации, централизации, блокировки и связи на железных дорогах | 92 | ГЭСНм-2001-20 (отдел 01) ГЭСНм-2001-10 (отдел 07) | ||||
| 47 | Устройство средств посадки самолетов и систем управления воздушным движением на аэродромах | 95 | ГЭСНм-2001-8, ГЭСНм-2001-10, ГЭСНм-2001-11 | ||||
| 48 | Пусконаладочные работы | 65 | ГЭСНп-2001 | ||||
| 49 | Работы по реконструкции зданий и сооружений (усиление и замена существующих конструкций, разборка и возведение отдельных конструктивных элементов) | 110 | ГЭСН-2001-46 | ||||
Примечания
-
При определении сметной стоимости ремонтных работ в жилых и общественных зданиях, аналогичных технологическим процессам в новом строительстве (в том числе возведение новых конструктивных элементов в ремонтируемом здании), с использованием сборников ТЕР-2001 (ФЕР-2001) нормативы накладных расходов следует применять с коэффициентом 0,9. Указанный коэффициент не применяется при определении стоимости работ по капитальному ремонту наружных инженерных сетей, улиц и дорог общегородского, районного и местного значения, мостов и путепроводов.
-
При реконструкции объектов метрополитена, а также мостов, путепроводов, искусственных сооружений, относящихся к категории сложных, к нормативам накладных расходов применяется коэффициент 1,2
-
При выполнении работ по капитальному ремонту оборудования (ГЭСНмр-2001-41) в жилых и общественных зданиях норматив накладных расходов принимается с коэффициентом 0,9.
-
При выполнении пусконаладочных работ по отраслевому технологическому оборудованию норма накладных расходов принимается в размере 65 % от фонда оплаты труда пусконаладочного персонала.
-
При реконструкции и капитальном ремонте действующих атомных электростанций и других объектов с ядерными реакторами к нормативам накладных расходов применяется коэффициент 1,2.
Приложение 5















