Пояснительная записка (1234679), страница 12
Текст из файла (страница 12)
tм = 0,1 ч – время маневрирования до разгрузки;
tпер = 0,25 ч – дополнительное время для перемешивания смеси.
Тогда Тц = 0,2 + 0,25 + 0,1 + 0,25 + 12 / 30 + 12 / 40 = 1,5 ч.
4. Число рейсов, совершаемых автобетоносмесителем за смену, равно:
NР = Траб / Тц, (1.4)
NР = 7,7 / 1,5 = 5,13. Принимаем 5 рейсов.
Необходимое количество автобетоносмесителей для возведения перекрытия составит:
N = J / (NР х Q), (1.5)
где J – интенсивность бетонирования, равная 8,60 м3 в смену
N = 8,60 /( 5 х 6) = 0,2. Принимаем 1 автобетоносмеситель.
В состав работ по бетонированию входят:
- прием и подача бетонной смеси;
- укладка и уплотнение бетонной смеси при бетонировании;
- уход за бетоном;
- контроль качества и сдача-приемка забетонированной конструкции.
В целях бесперебойной подачи смеси составляется график движения автобетоносмесителя. Для поточной организации работ по бетонированию перекрытий каждый этаж здания делят на 6 захваток в соответствии Рисунком П.1 Приложение П.
Подача доставленной автобетоносмесителями СБ-172-1 бетонной смеси осуществляется в бадьях 0,75 м3 краном МГК-25. Строповку бадьи производят 4-х ветвевым стропом грузоподъемностью 5 т.
Выбор и обоснование организации производства работ.
Рассматриваем три варианта организации работ при устройстве перекрытия:
1. Монтаж балок и профлиста ведет специализированное звено, укладку арматуры, монтаж опалубки и бетонирование выполняет одно звено плотников-бетонщиков.
2. Монтаж балок и профлиста, а также бетонирование выполняет одно звено, укладку арматуры, монтаж опалубки ведет специализированное звено плотников-арматурщиков.
3. Все работы выполняются специализированными звеньями.
1 вариант Общая продолжительность работ =32 дня приведен на Рисунке П.3 Приложение П.
Достоинства: одно звено выполняет опалубку, армирование и укладку бетона, т.е. работы выполняются привычным на сегодняшний день совмещением профессий, звено работает непрерывно.
Недостатки: Вынужденное время простоя звена монтажников 2дня.
2 вариант Общая продолжительность работ =32 дня приведен на Рисунке П.4 Приложение П.
Достоинства: одно звено выполняет монтаж профнастила, балок и укладку бетона, непривычное совмещение профессий, звено работает непрерывно.
Недостатки: Вынужденное время простоя звена плотников 4 дня.
3 вариант см. Рисунке П.5 Общая продолжительность работ = 28 дней приведен на Рисунке П.4 Приложение П.
Достоинства: Все работы ведут специализированные звенья.
Недостатки: Вынужденное время простоя звена плотников 3 дня.
Вынужденное время простоя звена монтажников 2 дня.
Вынужденное время простоя звена бетонщиков 6 дней.
Вывод: сравнив варианты организации работ, окончательно принимается схема
организации по варианту 1, потому что организация работ по устройству перекрытия
при совмещении профессий приводит к непрерывной работе звена, а также среди рассмотренных вариантов вынужденное время простоя звена работников составляет наименьшее число дней.
3.14.2 Расчет технических параметров крана. Выбор технологической оснастки.
Основными рабочими параметрами подъемных кранов, по которым производится подбор машины, являются: грузоподъемность Q, высота подъема крюка Нкр и вылет крюка Lкр.
Требуемые параметры крана:
1) Qк – требуемая грузоподъемность
Qк = Qэл + Qпр = 3+0,4=3,4 m, (1.6)
где Qэл – масса монтируемого элемента
Qпр – масса грузоподъемного элемента
2) Lст – длина стрелы крана с гуськом
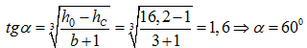
, где Н0=h0+hз+hэ; h0 (1.7)
– высота монтируемого здания,
hз – запас по высоте, hэ – высота элемента в монтажном положении, hс – высота строповки в рабочем положении от верха монтируемого элемента до низа крюка крана.
Н0 = 11,2 + 1 + 4 = 16,2м; hс = 1м.
Нкр= 1 +11,2+1+4= 17,2м,
Оптимальное значение угла наклона стрелы найдем по формуле:
Минимальная длина стрелы равна:
Минимальный вылет стрелы равен:
Принимаем кран МГК – 25, со стрелой 22,5 м, изображение приведено на Рисунке Р.1 Приложение Р.
Таблица 3.14 Основные технические характеристики крана.
| Показатель | Ед. изм. | Значение |
| Марка крана | - | МКГ-25 |
| Вылет стрелы | м | 22,5 |
| Грузоподъемность | т | 16 |
| Высота подъема крюка | м | 22 |
| Размер опорной базы | мм | 4700 |
| Вылет крюка | м | 4 |
Выбор технологической оснастки приведен в Таблице Р.1 Приложение Р.
При укладке и разравнивании бетонной смеси с помощью виброрейки необходимо сначала установить направляющие под виброрейку на уровне нулевой отметки и тщательно выставить их по горизонту.
В процессе работы нужно следить за тем, чтобы направляющие не были сбиты.
После этого на направляющие монтируется виброрейка.
Бетонная смесь заливается на подготовленное основание и разравнивается с таким расчетом, чтобы ее верх был немного выше уровня виброрейки (это зависит от степени уплотняемости бетонной смеси виброрейкой). После виброрейку тянут по направляющим. При этом нужно следить, чтобы виброрейка постоянно скользила по поверхности бетона. В тех местах, где бетонная смесь оседает ниже уровня виброрейки, бетонную смесь добавляют лопатой в необходимых количествах.
Признаками окончательного уплотнения являются: прекращение оседания бетонной смеси, появление бетонного молока на ее поверхности и прекращение выделения пузырьков воздуха.
Особенно тщательно следует уплотнять бетонную смесь непосредственно у стенок опалубки, а также при длительных перерывах в работе необходимо очистить поверхность ранее уложенного бетона от цементной пленки. Удаление цементной пленки должно производиться без повреждения бетона. При этом прочность бетона должна быть не менее 150 кН/см2 при очистки механической щеткой с последующей промывкой водой.
Организация рабочего места при бетонировании горизонтальных конструкций приведена на Рисунке Р.1 Приложение Р.
3.14.3 Уход за бетоном и снятие опалубки.
При выдерживании уложенного бетона в начальный период его твердения необходимо:
- поддерживать температурно-влажностный режим, обеспечивающий нарастание прочности бетона;
- предохранять твердый бетон от ударов, сотрясений и других механических действий;
- производить периодическую поливку бетона водой в течение первых дней твердения.
Мероприятия по уходу за бетоном в период набора прочности, порядок, сроки
их проведения, контроль за выполнением этих мероприятий, демонтаж опалубки осуществляют в соответствии с требованиями [20].
Демонтаж опалубки производят после достижением бетоном 50% проектной прочности.
В начальный период твердения бетон необходимо защищать от попадания атмосферных осадков или потерь влаги. В последующем необходимо поддерживать температурно-влажностный режим с созданием условий, обеспечивающих нарастание его прочности.
Движение людей по забетонированным конструкциям и установка опалубки вышележащих конструкций допускаются после достижения бетоном прочности не менее 1,5 МПа.
3.15 Операционный контроль качества работ
Операционный контроль качества работ по устройству монолитных перекрытий выполняют в соответствии с [20]. Схема операционного контроля качества работ приведена в Таблице С.1 Приложение С.
3.16 Калькуляция трудовых затрат
Калькуляция трудовых затрат приведена в Таблице Т.1 Приложение Т.
3.17 Расчет состава комплексной бригады.
Продолжительность возведения объекта определяется по формуле:
,
(1.11)
где
- трудоемкость выполняемых работ по частному потоку, чел-см,-? где взяли
- количество смен работы в сутки,
- коэффициент перевыполнения норм выработки =1,1
Работу по устройству монолитных перекрытий осуществляет комплексная бригада состоящая из 8 человек:
– машинист крана 6 р. – 1 человек;
– арматурщик –плотник 4 р. – 1 человека;
– арматурщик – плотник 2 р. – 2 человека;
– монтажник 4р. – 1человек;
– монтажник 3р. – 1человек.
– бетонщик 4р. – 1человек.
– бетонщик 2 р. – 2 человек.
– машинист бетононасосной установки 4 р. (по совмещению бетонщик 4 р.) – 1 человек.
3.18 Расчет технико-экономических показателей
Технико-экономические показатели характеризуют эффективность заложенных в технологической карте организационно-технических решений. Подсчитываются следующие ТЭП:
(1.12)
где, Ni – число рабочих в смену на выполнение данного процесса.
ti – продолжительность процесса в сменах.
Общая выработка:
(1.13)
Выработка при бетонирование:
(1.14)
Выработка при монтаже профнастила:
Выработка при армировании:
(1.16)
3.19 Материально-технические ресурсы
Потребность в материалах и изделиях при устройстве монолитных перекрытий приведен в Таблице У.1 Приложение У.
Таблица 3.15 Потребность в материалах и изделиях на 3 перекрытия.
| Наименование материалов и изделий | Ед.из. | Кол-во работ |
| 1. Стальные профилированные листы | м2 | 1600 |
| 2. Сетки арматурные диаметром 8мм., массой одного элемента 20кг. | Т. | 14 |
| 3. Арматурные стержни AIII диаметром 8мм. | Т. | 0.32 |
| 4. Арматурные стержни AIII диаметром 10мм. | Т. | 4.86 |
| 5. Разборно-переставная мелкощитовая деревянная опалубка, 1м2. | м2 | 32.4 |
| 6. Бетон, крупность заполнителя более 40 мм, класс В 15 (М200) толщина перекрытия-60мм | м3 | 126 м3 |
| 7. Поэлитиленовая пленка | м2 | 1600 |
| 8. Электроды Э42, Э42А | м шва | 1,24(кг) |
| 9. Шурупы-саморезы В 6х25 | кг | 7,92 |
| 10. Заклепки ЗК12-4,5 | 100 шт. | 21,6 |
| 11. Анкеры диаметром 16мм. | 100 шт. | 5 |
3.20 Ведомость механизмов, инструмента, приспособлений и оснастки
Ведомость механизмов, инструмента, оснастки приведена Таблица И.1 Приложение И.















