Пояснительная записка (1223881), страница 3
Текст из файла (страница 3)
по принципу построения (закольцованные, тупиковые, смешанные);
по материалу труб (металлические, полиэтиленовые).
В зависимости от максимального рабочего давления газа газапроводы подразделяются на газопроводы низкого давления - до 5000 Па; среднего давления - свыше 0,005 до 0,3 МПа; выского давления - свывше 0,3 до 1,2 МПа.
На территории городов и населенных пунктов все газопроводы, как правило, укладывают в грунте. На территории промышленных и коммунальных предприятий применяется надземная прокладка.
Газопроводы низкого давления предназначаются для подачи газа в жилые и общественные здания , а также коммунально-бытовым потребителям.
Газопроводы среднего давления служат для питания распределительных газопроводов низкого давления через ГРП, а также для подачи газа в газопроводы промышленных и коммунально-бытовых предприятий.
По газопроводам высокого давления поступает газ для городских ГРП, местных ГРП крупных предприятий, а также предприятий, технологические процессы которых требуют применения газа высокого давления (до 1,2 МПа). Газопроводы различных давлений связаны между собой через ГРП.
Систтема газораспределения должна обеспечивать бесперебойную подачу газа всем потребителям, быть простой, удобной и безопасной в обслуживании, предусматривать возможность отключения отдельных её элементов для производства аварийных и ремонтных работ.
По числу ступеней давления системы газораспределения подразделяют:
на одноступенчатые с подачей различным потребителям газа только по газопроводам одного давления;
двухступенчатые с подачей потребителям газа по газопроводам двух давлений (среднего и низкого, высокого и низкого, высокого и среднего);
трехступенчатые с подачей потребителям газа по газпроводам трех давлений (низкого, среднего и высокого до 0,6 МПа);
многоступенчатые с подачей потребителям газа по газопроводам низкого, среднего и высокого (до 0,6 и до 1,2 МПа) давлений.
К наружным относятся подземные газопроводы и надземные, проложенные на опорах и по стенам зданий. Надземная прокладка допускается по стенам зданий внутри жилых дворов и кварталов, а также на отдельных участках трассы, в том числе на участках переходов через искусственные и естественные преграды при пересечении подземных коммуникаций. Прокладка газопроводов в тоннелях, коллекторах и каналах не допускается. Исключение составляет прокладка стальных газопроводов давления до 0,6 МПа в соответствии с требованием СНиП на территории промышленных предприятий, а также в каналах в многолетнемерзлых грунтах под автомобильными и железными дорогами.
Для создания запасов и выравнивания сезонной неравномерности потребления газа вблизи крупных городов могут сооружаться подземные хранилища газа, а для выравнивания суточного графика потребления газа служат газгольдерные станции и буферные предприятия. Крупные потребители газа (промышленные предприятия, электростанции и др.) питаются газом от сетей высокого и среднего давления. Жилые дома, коммунально-бытовые предприятия присоединяют к сетям низкого давления. Тупиковые газопроводы разветвляются по различным направлениям к потребителям газа, недостаток этой схемы - различная величина давления газа у потребителей (по мере удаления от источника газоснабжения давления газа падает).
Кольцевые сети представляют собой систему замкнутых газопроводов, благодаря чему достигается более равномерный режим давления газа у всех потребителей и облегчается проведение различных ремонтных и эксплуатационных работ. Положительное свойство кольцевых сетей - это и то, что при выходе из строя какого-либо ГРП нагрузку по снабжению потребителей газом принимают на себя другие ГРП. Смешанная система газораспределения состоит из кольцевых и тупиковых газопроводов. В настоящее время города и населенные пункты газифицируют по кольцевой и смешанной системам.
1.6. Характеристика газопровода и источника газоснабжения
Газопровод стальной высокого давления 2 категории ГРС-1 (г.Хабаровск) до с.Бычиха протяженностью 30км и диаметром 426мм до пикета 85+25,25, после чего диаметром 325мм до пикета 267+75,2 , и диаметром 159мм до с.Бычиха. Так как грунты по сейсмическим свойствам относятся по 2 категории газопровод на всем своем протяжение подземный.
Характеристика источника газоснабжения:
-
давление = 0,6 Мпа;
-
подача от ГРС-1 = 150000
/час; -
диаметр 426 мм.
Характеристика газопровода:
-
7-кранов шаровых в подземном исполнение;
-
32-станции катодной защиты;
-
32 - искусственные преграды , пересечение автомобильных дорог;
-
34-участков где газопровод в футляре;
-
4-пересичения воподпровода;
-
1-пересичение теплосети;
-
5-пересичений канализации;
-
1-пересичение железной дороги;
-
8-перечение природных преград, где применялся подводных переход.
1.7. Обстоятельства аварии
10 июля 7.30 утра в диспетчерскую службу АО "Газпром газораспределение Дальний Восток" поступило сообщение от людей собиравших грибы, а том что в районе 13 км Владивостокского шоссе присутствует резкий запах газа. Из чего сделан вывод что на данном участке происходит утечка газа, для её устранения и определение обстоятельств прорыва газопровода на место аварии выехала аварийно-восстановительная бригада.
1.8. План организации аварийно-восстановительных работ
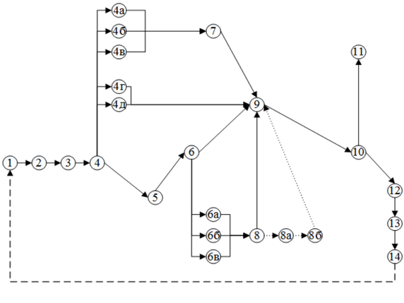
План организации аварийно-восстановительных работ представлен на рисунке 1.1.
Рисунок 1.1 Сетевая модель работ по ликвидации аварии "Утечка газа из подземного газопровода"
-
Поступление заявки;
-
Инструктаж заявителя;
-
Выезд на место аварии, изучение ситуационного плана на планшете;
-
Оповещение и вызов представителей владельцев смежных коммуникаций и сообщение об аварии руководству управления и Госгортехнадзору;
-
Прибытие на место аварии, оценка обстановки и принятие решений по ликвидации аварии;
-
Определение зоны загазованности и естественная вентиляция колодцев;
-
Вызов необходимых механизмов и исполнительной документации;
-
Уточнение с прибывшими представителями расположения смежных коммуникаций;
-
Проверка на загазованность всех смежных коммуникаций, изучение исполнительной документации;
-
Установка механизмов (воздуходувок, компрессоров, электростанций и т.д.), принудительная вентиляция колодцев и контроль загазованности;
-
Отключение от системы газоснабжение ближайшего участка газопровода;
-
Принудительная вентиляция сооружений;
-
Окончательный контроль за наличием газа в коммуникациях (работы 11, 13 выполняются в том случае, если принудительная вентиляция подземных сооружений не дает положительного результата);
-
Определение наиболее вероятных мест проникновения газа в подземные коммуникации;
-
Вызов ремонтной бригады (при необходимости);
-
Бурение с целью определения места утечки газа;
-
Рытье котлована и ликвидация утечки газа;
-
Изоляция места ремонта и засыпка котлована;
-
Доклад о ликвидации аварии и возвращение в службу.
1.9. Технологические решения
Технологические решения:
1-отключение от системы газоснабжения ближайшего участка газопровода к месту предполагаемой утечки газа;
2-принудительная вентиляция сооружений.
3-определение наиболее вероятных мест проникновения газа;
4-бурение с целью определения места утечки газа. Если требуется;
5-рытье котлована;
6-замена катушкой участка поврежденного газопровода;
7-сварка газопровода;
8-изоляционные работы;
9-испытание газопровода и контроль качества;
-
ПРАКТИЧЕСКАЯ ЧАСТЬ
-
Расчет потерь газа при разрушении газопровода
Удельное количество выбросов газа, истекающего в атмосферу из щели на сварном шве стыка газопровода, г/сек, определяется по формуле:
Gr = φ f Wкр ρог 1000, (2.1)
где φ – коэффициент, учитывающий снижение скорости;
f – площадь отверстия, определяется по формуле:
f = n π d δ, (2.2)
где n –длина разрыва наружного периметра трубы газопровода, в % от общего периметра;
d – диаметр газопровода, м;
δ – ширина щели, м.
Плотность газа перед отверстием в газопроводе ρг , кг/м3, определяется по формуле:
, (2.3)
Wкр – критическая скорость выброса газа из щели, м/с, которая определяется по формуле:
, (2.4)
где То – абсолютная температура газа в газопроводе, К;
ρог – плотность газа при нормальных условиях, кг/м3;
Т1 – абсолютная температура окружающей среды, К;
То – абсолютная температура газа в газопроводе, К;
Ро – абсолютное давление газа в газопроводе в месте расположения сварного стыка, Па;
Р1– атмосферное давление, Па, Р1= 10108Па;
Произведём расчет потерь газа при разрушении газопровода, используя следующие исходные данные:
d = 0,426 мм;
n = 5%;
φ = 0,97;
δ = 0,003м;
ρог = 0,75кг/
;
t=0,25ч;
Т1 = +14С (287 К);
То = +3С (276 К);
Ро =600000 Па;
Р1 =101080 Па;
Определим площадь отверстия по формуле (2.2) :
f = 0,05 3,14 0,426 0,003 = 0,000201м2
Рассчитаем критическую скорость выброса газа из щели по формуле (2.4):
=393,3 м/с;
Плотность газа перед отверстием в газопроводе будет равна
Таким образом, удельное количество выбросов газа, истекающего в атмосферу из щели на сварном шве стыка газопровода, можно рассчитать по формуле (2.1):
Gr = 0,97 0,000201 393,3 4,629 1000 =354,96 г/сек;
Подсчитаем, сколько газа вышло за время остановки, используя формулу:
m=Grt, (2.5)
m=354,96 900=319464 г = 319,464 кг
2.2 Расчет потерь газа при ремонте газопровода
Определим расход газа на ремонтные работы, связанные с отключением оборудования или отдельных участков газопровода, их разгерметизацией и последующей продувкой.
При проведении ремонтных работ, связанных с регламентной разгерметизацией оборудования и участков газопроводов, полный расход газа на эти работы Qр, м3, складывается из количества газа, удаляемого из оборудования и газопровода, а также расхода газа на их последующее заполнение, продувку и определяется по формуле:
(2.6)
где VС – внутренний объем продуваемых газопроводов и оборудования, м3;
k – поправочный коэффициент (1,25-1,30);
Р1 – атмосферное давление, Па;
Рг – избыточное давление газа в газопроводе при продувке, Па;















