Пояснительная записка (1218895), страница 5
Текст из файла (страница 5)
Обеспечение автоматизированной деятельности оперативного персонала.
Операции персонала по ведению режимов блока в регулировочном диапазоне, а также по пуску и останову оборудования автоматизированы, так как выполняются оператором преимущественно с использованием средств функционально-группового и дистанционного управления, автоматического регулирования и систем, выполняющих информационно-вычислительные функции, с представлением информации оператору на видеокадрах. Контроль работоспособности средств измерений, исполнительных механизмов, и коммутирующих устройств также возложен на средства АСУ ТП.
Это обеспечено тем, что автоматизация энергоблока №5 решена, в основном, на программируемых средствах и незначительно - на локальных средствах автоматизации. На локальных средствах автоматизации выполнены отдельные функции измерения и дистанционного управления (резервная система управления на БЩУ, часть систем измерений и органов управления исполнительными механизмами, расположенными по месту: отключение механизмов, подача мазута на форсунки и другое.).
Не автоматизированы управление неэлектрифицированной арматурой и управление механизмами по месту, а также обходы оборудования. Неавтоматизированная деятельность персонала на блоке сведена к целесообразному минимуму [8].
3.4 Характеристики системы, определяющие ее качество
Расчетные оценки надежности приведены в приложении А.
Надёжность технологических защит
Показателями аппаратной надежности микропроцессорных устройств (МПУ) технологических защит (ТЗ) являются:
– вероятность несрабатывания защиты при запросе;
– вероятность ложного срабатывания.
Требования к надежности отдельной ТЗ определяются принадлежностью данной ТЗ к той или иной группе А или Б. К группе А относятся защиты, срабатывающие в аварийных ситуациях, создающих опасность для жизни персонала и сохранности оборудования. Защиты группы Б срабатывают в аварийных ситуациях, создающих опасность повреждения оборудования или сокращения его ресурса.
В системе блока №5 технологические защиты обеих групп А и Б, обеспечивающие отключение котла, турбины или блока, а также снижение нагрузки, выполнены с одинаковым дублированием и отвечают более высоким требованиям к группе А.
В таблице приведены показатели аппаратной надежности технологических защит, реализованных в АСУ ТП на дублированном контроллере ТЗ (на одну ТЗ).
Таблица 3 – показатели аппаратной надежности технологических защит
| Технологические защиты | Вероятность несрабатывания при запросе, не более | Параметр потока ложных срабатываний 1/год, не более | |
| Критический отказ | Некритический отказ | ||
| Группы А и Б | 0,002 | 0,007 | 0,006 |
Значение вероятности отказов на срабатывание при запросе, принято при периодичности запроса на срабатывание 1 раз в 25 суток на одну защиту.
Показатель суммарного потока ложных срабатываний для всех технологических защит не превышает числа 1раз в год.
Таблица 4 – показатель суммарного потока ложных срабатываний
| для группы А | для группы Б | |||||||
| по котлу | 0,036 | по котлу | 0,06 | |||||
| по турбине | 0,03 | по турбине | 0,066 | |||||
| по блоку | 0,03 | по блоку | 0,06 | |||||
Таблица 5 – Быстродействие средств ПТК
| Показатель | Время |
| Задержка с момента вызова стандартной оперативной видеограммы (мнемосхемы, меню, изображения в окне управления) на экран видеотерминала до ее полного появления | < 2 с |
| Цикл обновления оперативной (текущей) информации на видеотерминалах | < 1 с |
| Задержка передачи информации об аварийной ситуации | < 0,25 с |
| Задержка передачи информации для предупредительной сигнализации | < 0,5 с |
| Время выдачи управляющего воздействия по каналам технологических защит при обнаружении аварийной ситуации | < 0,1 с |
| Общая задержка в передаче информации по контуру регулирования или управления нижнего уровня (штатные блокировки) от датчика до исполнительного механизма. | < 250 мс |
| Время квантования длительности импульса регулятора | < 125 мс |
| Среднее время передачи команды и получения подтверждения со стороны исполнительного устройства (без учета задержек отработки команды управления исполнительным устройством – люфт и т.д.). | < 1 с |
| Общая задержка в передаче управляющих воздействий персонала по контуру дистанционного управления | < 0,25 с |
| Общая задержка в передаче обратных сигналов об изменении дискретного состояния объектов управления | < 0,5 с |
| Общая задержка прохождения команды от аварийной кнопки до отображения ответной информации | < 0,5 с |
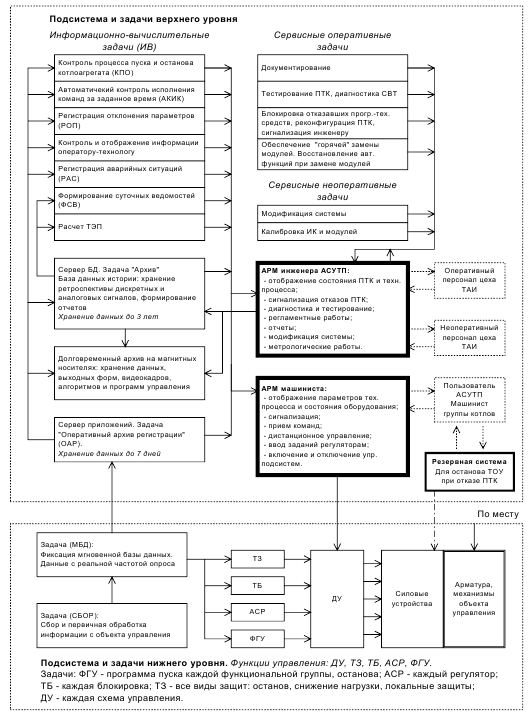
3.5 Функциональная структура системы
В АСУ ТП в части контроля и управления выделяются информационно-вычислительные и управляющие функции. Перечень и краткая характеристика задач, реализующих информационно-вычислительные функции системы, приведены в приложении Б. В приложении В представлены задачи, реализующие управляющие функции.
3.6 Основные технические решения
Структурная схема АСУ ТП образована по иерархическому принципу. В основной системе выделено два уровня в части программно-технического комплекса (ПТК) иерархии в зависимости от выполняемых системных функций: верхний и нижний. Периферийное оборудование (датчики, исполнительные устройства) образует полевой уровень. Помимо основной системы выполнена непрограммируемая резервная система с ограниченными функциями, которая описана далее.
Верхний уровень ПТК основной системы обеспечивает взаимодействие операторов-технологов и инженерного персонала с управляемым технологическим оборудованием, организует работу системы на энергоблоке и её связь с общестанционным уровнем. Он включает перечисленные далее технические средства.
Технические средства, объединенные дублированной сетью Entranet:
– три операторские станции машиниста, образующих АРМ машиниста;
– операторская станция старшего машиниста;
– операторская станция персонала, инженерная станция наладчиков;
– инженерная станция проектирования;
– дублированный сервер базы данных;
– дублированный сервер приложений;
Рисунок 14 – Схема функциональной структуры АСУ ТП
Технические средства, подключённые к одной из дублированных сетей Entranet.
– станция мониторинга микропроцессорных защит блока Генератор-трансформатор внедренной аппаратуры НПО «ЭКРА»;
– станция мониторинга системы возбуждения генератора на внедренной ап- паратуре фирмы «Энергоцветмет».
При необходимости, возможна ручная перекоммутация этих средств на любую из дублированных сетей Entranet. Нижний уровень выполняет сбор, ввод и обработку аналоговой и дискретной информации в ПТК, формирует и отрабатывает дискретные управляющие воздействия (в том числе программные) на агрегаты, а также регулирование по различным законам, решает задачи защиты. Он включает контроллеры, объединённые дублированной сетью Entranet, которая является общей для верхнего и нижнего уровней ПТК.
Полевой уровень образуют:
– датчики;
– исполнительные механизмы;
Сетевая организация
Топология сети Entranet дублированная радиальная, соединяющая все рабочие станции сервера и контроллеры. В качестве среды передачи данных использован кабель типа промышленная витая пара или оптоволоконный кабель. В каждую рабочую станцию, сервер или компьютер, где требуется сетевое резервирование, ставится два сетевых адаптера. Таким образом, каждый абонент сети, имеющий два сетевых адаптера, обеспечен дублированной связью с остальными абонентами ПТК. В случае любого единичного обрыва, профилактики или выхода из одной из цепей сетевой связи система остается полностью работоспособной.
Сеть построена на двух коммутаторах Entranet для подключения со скоростью 10/100 Мбит/сек. Контроллеры подключены со скоростью 100 Мбит/сек, компьютеры АРМов и серверов также подключены со скоростью 100 Мбит/сек. Коммутаторы Entranet установлены в шкафу коммуникаций 6CMJ15, расположенном в неоперативной части БЩУ. Коммутаторы Entranet имеют встроенные средства диагностики и мониторинга состояния подключенных портов, результаты мониторинга доступны обслуживающему инженерному персоналу.
3.7 Комплекс технических средств, его размещение на объекте
Состав комплекса технических средств.
В ПТК используются изделия следующих фирм:
– ЗАО «МСТ» (Россия) - контроллерные модули MIF, мезонинные субмодули ModPack, блоки полевых интерфейсов;
– Unicontrols (Чехия) - измерительные мезонинные субмодули ModPack;
– PEP Modular Computers (Германия) - мезонинные субмодули контроллеров;
– Melcher (Германия) - дублированные источники питания контроллеров;
– ELTECO (Словения) - источники бесперебойного питания компьютеров и коммуникационного оборудования;
– Cisco Systems (США) - коммутаторы Entranet;
– Siemens (Германия) - пассивное коммуникационное оборудование (кабели);
– Rittal (Германия) - шкафное оборудование;
– WAGO (Германия) – клеммные изделия.
В качестве датчиков используются:
– по температуре - термопреобразователи сопротивления типа ТСМ, ТСП и термоэлектрические преобразователи погружные типа ТХА и ТХК производства завода «Эталон» (г. Омск);
– для замеров температуры металла - термоэлектрические поверхностные преобразователи типа КТХА производства ПК «Тесей» (г. Обнинск).
Большинство температурных датчиков подключено к контроллерам непосредственно, то есть без преобразователей;
– для преобразования натурального сигнала термопар применены (в ограниченном количестве) преобразователи измерительные ПИ9701 завода «Эталон» (г. Омск);
– по давлению и перепаду давления - первичные преобразователи типа «Сапфир-22М» с выходным сигналом 4-20 мА производства концерна «Метран» (г. Челябинск) и манометры сигнализирующие ДМ2005Сг АО «Манотомь» (г. Томск);
– для анализа качества топочных и уходящих газов на содержание кислорода кислородомеры АКВТ-01 производства ПО «Аналитприбор» (г. Смоленск);
– для анализа качества сушильного агента на содержание кислорода – газоанализатор ГТМ-5101М производства ПО «Аналитприбор» (г. Смоленск);
– для анализа качества топочных и уходящих газов на содержание СО2 – газоанализатор ГИАМ 14-12 производства ПО «Аналитприбор» (г. Смоленск);
– для анализа запылённости дымовых газов – измеритель запылённости ИЗА-02 производства НИЦ «Автоматика» (г. Москва);
– для комплексного анализа вредных выбросов в газах – многофункциональный газоанализатор URAS-10Е фирмы Hartman Braun;
– запально-сигнализирующие устройства контроля пламени запальника типа УЗБАС-1 и контроля пламени форсунки – типа Луч-1а производства завода «Энерготех» (г. Казань);
– для замера электорпроводности - кондуктометры КАЦ-037 АО «Техноприбор» (г. Москва);
– для замера содержания водорода в остром паре – водородомер АВ-09 АО «Техноприбор» (г. Москва);
– для измерения электрических параметров используются преобразователи серии Е-800 производства предприятия «Алекто» (г. Омск) с унифицированным сигналом 4-20 мА;














