Управление корпоративным имиджем компании-Красулина А.М (1216378), страница 3
Текст из файла (страница 3)
Основу формирования имиджа составляют результаты деятельности фирмы (товары, услуги, качество обслуживания и др.), маркетинговые коммуникации (особенно реклама и связи с общественностью), официальная политика компании, сообщения СМИ, корпоративные символы, бренды, корпоративная культура и т.д. Так как имидж связан с восприятием, явление это весьма подвижное. Новая информация, воздействие новых обстоятельств, эмоциональное состояние, а тем более негативные факты, относящиеся к товару или обслуживанию (грубость, брак, неэтичное поведение сотрудников), меняют восприятие человека. Иногда вернуть утраченное доверие клиента и партнера становится невозможно. [11, 5]
Западными и российскими специалистами предложено несколько различных подходов к формированию имиджа. Преимущественно, все предлагаемые технологии включают в себя схожие направления и методы, подразумевая последовательную реализацию следующих этапов:
-
Исследование объекта, для которого создается имидж. Выявление его индивидуальных особенностей, конкурентных преимуществ, достоинств, возможных недостатков, нуждающихся в нейтрализации и т.д.
-
Определение стартовых условий – конкретных целей и задач формирования имиджа. Создание перечня требований и пожеланий, которым должен отвечать создаваемый образ.
-
Формулирование качеств, которые в дальнейшем будут наиболее активно пропагандироваться. Исходя из того, что имидж может быть не только позитивным, но и эпатажным, с элементами скандальности, и другим, специалисты выделяют ключевые характеристики, которые необходимо донести до сознания аудитории. Это может быть экологичность продукции, надежность компании, непосредственность личности и т.д.
-
Визуализация образа – разработка перечня внешних характеристик, необходимых для успешного создания имиджа. Построение и/или корректировка визуальных факторов (фирменного стиля) в соответствии с психологическими и маркетинговыми рекомендациями.
-
Определение типа и специфики коммуникаций с аудиторией – публичные обращения, ведение блоггов в соц.сетях, личные выступление и прочее; их специфика, эмоциональный посыл, тональность, вплоть до мимики и жестикуляции.
-
Создание и распространение различных материалов для формирования имиджа – статьи в СМИ, интересный и полезный контент, новостная «лента», рекламные видео ролики, аудиозаписи и прочее.
На протяжении всего периода формирования стратегии и реализации имиджевой политики важно проводить непрерывный мониторинг ситуации, отслеживать результат, при необходимости, корректируя используемые средства и методы.
На ранних этапах развития организации имидж складывается стихийно, но когда руководство начинает задаваться вопросами об отличии от других организаций, о привлечении других групп клиентов, можно говорить о специальном формировании имиджа. Формирование имиджа начинают с создания корпоративной индивидуальности, т.е. тех признаков, которые идентифицируют организацию. Это прежде всего элементы фирменного стиля, такие как логотипы, слоганы, цветовые и дизайнерские решения, фирменная одежда, рекламная полиграфия, web-сайт компании, визитки и т.д. Жизнеспособность имиджа основывается на эффекте восприятия, поэтому важно выбрать средства, эффективно воздействующие на восприятие. Индивидуальный образ должен быть преобразован в коллективный, при этом необходимо учитывать модели поведения индивидов и их возможную реакцию на тот или иной образ. [20]
Часто определенные товары ассоциируются у людей с конкретной страной. "Национальные" стереотипы часто переносятся на имидж организации: немецкая продукция должна быть технически совершенной, французская и итальянская одежда - модной, японская техника - надежной и высококачественной. Если компания заинтересована в том, чтобы использовать имидж страны, ей необходимо понять, в чем состоят его сильные стороны, какими характеристиками он обладает и как эти характеристики могут способствовать формированию у клиентов и других заинтересованных групп благоприятного отношения к компании и ее продукции.
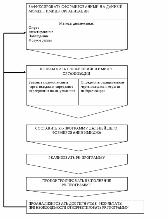
В ходе целенаправленного формирования имиджа компании необходимо провести анализ уже сложившегося имиджа; выявить достоинства и недостатки сложившегося имиджа; определить меры нейтрализации отрицательных черт и усиления воздействия положительных. Для достижения целей организации необходимо целенаправленное формирование позитивного имиджа, выстраивание доверительных отношений с партнерами, клиентами и поставщиками и, конечно же, создание высокой репутации компании.
Западными и российскими специалистами предложено несколько разных подходов к формированию имиджа. По большей части, все предлагаемые технологии включают в себя схожие направления и методы, подразумевая последовательную реализацию следующих этапов.
Этапы формирования имиджа представлены на рисунке 2.
Понятия "имидж" и "репутация" являются родственными. Но репутация подразумевает наличие устойчивого мнения о качествах и достоинствах организации в деловом мире. Если какие-то чувства, установки и убеждения в отношении компании, ее имиджа соответствуют представлениям человека о корпоративном поведении, тогда в его сознании формируется хорошая репутация этой компании. Хорошая репутация отражает тесное соответствие между имиджем компании и собственной системой ценностей индивида. Положительная репутация помогает компании придать большую ценность выпускаемым товарам и услугам, привлечь большее число клиентов, квалифицированный персонал, улучшить финансовые показатели и т.д.
Рисунок 2 – Этапы формирования имиджа компании
Если говорить о ценности репутации (практической ценности) для компании, то хорошая репутация придает дополнительную ценность товарам и услугам компании; снижает степень ощущаемого потребителем риска при покупке товаров и услуг; помогает потребителям сделать выбор между аналогичными товарами и услугами (и, соответственно, продавцами данных товаров и услуг); хорошая репутация способствует улучшению мотивации и удовлетворенности сотрудников компании; привлекает новые квалифицированные кадры; способствует успешной деятельности на фондовой бирже; улучшает связи с поставщиками, посредниками, деловыми партнерами; хорошая репутация "вытягивает" компанию в случае кризисов и помогает выжить в агрессивной конкурентной среде и т.д. [12]
Управление репутацией корпорации - система мер воздействия по формированию составляющих репутации с учетом корпоративной культуры, конкретного этапа жизненного цикла, которая реализуется как внутри организации, так и за ее пределами. Управление репутацией внутри организации предполагает формирование корпоративного кодекса поведения, разработку ее философии и принципов, системы норм и ценностей, имиджа первых лиц организации, моделей привлекательного клиентурного поведения и др. Управление репутацией вне организации представляет собой формирование ожиданий всех участников бизнеса: партнеров, клиентов, поставщиков, посредников. Для управления репутацией компании необходимо особое внимание уделять символическому и подповерхностному уровням организационной культуры. Наиболее открыт к основным группам корпоративной аудитории символический уровень (уровень артефактов), являясь основой для формирования внешней репутации организации. Уровень провозглашаемых ценностей прежде всего способствует созданию внутренней репутации компании.
Для формирования положительной внутренней репутации компании важно создание особого климата в организации, который бы способствовал развитию потенциала работников и повышению их приверженности организации. Приверженность - это социально-психологическая установка, характеризуемая доброжелательным, корректным, искренним, уважительным отношением к руководству, сотрудникам, иным лицам, их действиям, к компании в целом; осознанным выполнением сотрудником своей работы в соответствии с целями и задачами компании и в интересах компании, а также соблюдением норм, правил и обязательств, включая неформальные, в отношении компании, руководства, сотрудников и иных субъектов взаимодействия. Приверженность сотрудников, особенно топ-менеджмента - основа репутации фирмы в глазах клиентов. Если сотрудник не удовлетворен работой - клиент не доволен таким сотрудником, как следствие и фирмой в целом. Лучше не допускать недовольных сотрудников к общению с клиентами. И наоборот, лояльные сотрудники могут обеспечить компании лидерские позиции на рынке. Лояльные сотрудники осознанно не разглашают коммерческую информацию, сохраняют верность компании в кризисных ситуациях, прикладывают больше усилий для достижения целей организации.
Процесс формирования корпоративного имиджа и репутации в качестве своего результата должен способствовать созданию сильного бренда (или как иногда говорят, "супербренда"). "Ассоциации с организацией", по Д. Аакеру, являются одним из элементов идентичности бренда, способствующим созданию положительного восприятия бренда, увеличению его продаж на рынке. [11]
Также прослеживается следующая цепочка: такие факторы, как корпоративная культура, корпоративные коммуникации, сам основатель, его видение, миссия, стратегия, социальная ответственность компании, наконец, корпоративная индивидуальность способствуют формированию корпоративного имиджа (значимого, узнаваемого, вызывающего доверие), который влияет на закрепление корпоративной репутации (таких характеристик, как ответственность, качество, честность и др.), в конечном итоге формируя сильный бренд организации, важнейший нематериальный актив компании. В свою очередь, сильный бренд способствует поддержанию положительного имиджа и репутации компании.
Грэм Даулинг обратил внимание на ряд типичных ошибок, возникающих в процессе управления корпоративным имиджем и репутацией. Первая ошибка связана с ориентацией руководства при формировании имиджа и репутации на какую-то одну аудиторию ("компания имеет хорошую репутацию"), в то время как существуют разные представления об имидже/репутации компании в различных корпоративных аудиториях. Вторая ошибка связана с несбалансированной оценкой имиджа/репутации компании, в этом случае на первый план выходит одна аудитория (клиенты или инвесторы), все остальные группы остаются без внимания. Важнейшим звеном формирования корпоративного имиджа и репутации компании являются сотрудники компании, но часто руководство забывает об этом и относится к персоналу как "гражданам второго сорта", это третья типичная ошибка. Четвертую ошибку совершает руководство, если мало внимания уделяет клиенту, теряет маркетинговую ориентацию. Иногда компания совершает действия, которые могут надолго оттолкнуть клиентов (снижение качества обслуживания, сознательное создание дефицита, обман в рекламе...), поэтому важно периодически становиться на место клиента. Пятая ошибка - это внутриорганизационные конфликты, которые "выходят на поверхность". Иногда руководство увлекается стимулированием конкуренции внутри организации, усиливая проблему дивергенции целей, когда общая цель существования компании отходит на второй план, а сотрудники не слышат друг друга, забывая, что "все они - одна команда". Еще одной ошибкой можно назвать противоречия и несоответствие того, что декларируется, тому, что реально существует в организации ("Мы хотим как можно шире внедрять новые технологии, но мы мало знакомы с новыми технологическими разработками"). В качестве восьмой ошибки можно выделить увлечение ребрендингом и сменой корпоративной индивидуальности. Такие изменения должны быть оправданны, например если в компании действительно последуют серьезные преобразования. Сотрудники часто даже эмоционально привязываются к корпоративной символике и тяжело реагируют на изменение привычного порядка вещей. Девятая ошибка - это неверные действия во время кризиса, важно знать, не окажет ли негативное воздействие то, что сделано во время кризиса, на имидж компании (особенно на доверие к компании, надежность). Наконец, десятой ошибкой можно назвать неверную оценку имиджа и репутации компании. Необходимо опираться на надежные методики исследования имиджа и репутации, а не полагаться исключительно на личные суждения и интуицию. В процессе разработки методов исследования репутации и имиджа исследователи вырабатывают единый взгляд на то, какими должны быть корпоративная культура, миссия, корпоративная индивидуальность и др. При оценке таких важных нематериальных активов, как имидж и репутация, менеджеры обмениваются своими взглядами и представлениями, опираются на различные источники информации. При регулярной оценке имиджа и репутации сотрудники более внимательно относятся к тем параметрам, по которым проводится оценка. [19]
Нельзя забывать о том, что репутацию надо не только формировать и поддерживать, но и защищать. Защита репутации осуществляется постоянно на протяжении всего времени существования компании на рынке. Организации разрабатывают стратегии предотвращения возможных искажений своей репутации, что реализуется на основе анализа состояния рынка и выявления внешних факторов, способных привести к этому. Отслеживаются негативные публикации, направленные против организации и ее руководителей, проводятся действия по нейтрализации информации. При юридической защите репутации обращаются к нормативным актам, в соответствии с которыми организация вправе требовать в суде опровержения сведений, порочащих деловую репутацию, и требовать возмещения убытков, причиненных распространением таких сведений.
Таким образом, в настоящее время становится очевидным, что от имиджа компании напрямую зависят ее конкурентоспособность, стоимость акций, привлекательность как работодателя. Таким образом, имидж влияет практически на все аспекты жизнедеятельности компании.












