ПЗ (1215591), страница 7
Текст из файла (страница 7)
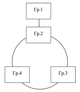
Рисунок 6.2 - Схема групп блоков БС
Из этого следует, что при отказе одного из элементов схемы произойдет отказ всей схемы (соединение между Гр.1 и Гр.2 явно последовательное), а значит, можно предположить, что:
где
– интенсивность отказа базовой станции;
T0 - среднее время наработки на отказ базовой станции.
Для расчета коэффициента готовности необходимо задаться временем восстановления. Для этого принято, что время обнаружения неисправности составляет 0,25 часа, так как за работоспособностью системы базовых станций ведется непрерывный мониторинг в специальных центрах; время доставки до одной из неисправных станций, рассмотренных в данной работе, без учета пробок составляет 0,25-1,25 часа, среднее время принято за 0,75 часа; время устранение повреждения вместе с настройкой и проверкой оборудования может занимать до 4 часов.
Тв =0,25+0,75+4=5, ч
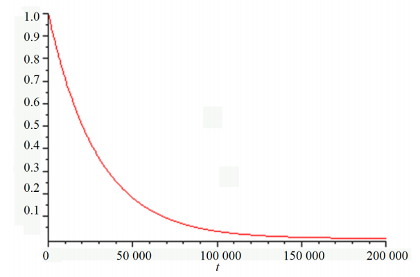
Вероятность безотказной работы базовой станции, рассчитанная по формуле (6.9) за стандартное время испытания: 24 часа, 720 часов, 2172 часа, 8760 часов, а также другие параметры надежности, сведены в таблицу 6.4.
Таблица 6.4 - Результаты расчета основных параметров надежности
| Время наработки БС, ч | 29·103 | |
| Интенсивность отказов БС, 1/ч | 34,19·106 | |
| Коэффициент готовности БС | 0,9998 | |
| Вероятность безотказной работы БС за | 24 часа | 0,999 |
| 720 часов | 0,976 | |
| 2172 часа | 0,929 | |
| 8760 часов | 0,741 | |
График функции вероятности безотказной работы БС приведен
на рис. 6.3.
Заключение
Сотовые сети стандарта GSM по своей структуре изначально не были предназначены для мобильного интернета. В наши дни операторы сотовой связи вынуждены вкладывать огромные деньги в модернизацию своих сетей до 3G (UMTS), а теперь уже и до 4G (LTE) с целью удовлетворения потребностей населения.
LTE позволит увеличить проникновение услуг ШПД за счет покрытия периферийных регионов страны, где строительство традиционных сетей затруднено или невозможно. А это весьма немаловажно, с учетом того, что широкополосный мобильный доступ в Интернет будет оставаться растущим бизнесом в регионах еще на протяжении многих лет.
В результате выполнения выпускной квалификационной работы была выполнена модернизации сети подвижной радиотелефонной связи до стандартов четвертого поколения в городе Тында.
Особое внимание было уделено выбору технологии, используемой в межстанционной связи, основываясь на сравнении затрат, времени и средств на строительство базовой сети при наличии альтернативных связных технологий.
Сама технология постоянно совершенствуется в направлении адаптации к условиям передачи трафика в сетях и потребностям населения, поэтому всегда будут оставаться вопросы, рассмотреть которые будет целесообразно в пользу развития идей настоящей работы.
Библиографический список
-
Вишневский В.М. и др. Широкополосные беспроводные сети передачи информации. - M.: Техносфера, 2005;
-
Гольдштейн Б. С., Соколов Н. А., Яновский Г. Г. Сети связи: Учебник для ВУЗов. – СПб.: БХВ – Петербург, 2010.
-
LTE: [Электронный ресурс] – Режим доступа: http://habrahabr.ru/company/beeline/blog/129694.
-
Устройство базовых станций сотовой связи [Электронный ресурс] – Режим доступа: http://celnet.ru/ustrbs.php.
-
Кааринен Х. Сети UMTS. Архитектура, мобильность, сервисы. – М.:Техносфера, 2007.
-
Введение в LTE [Электронный ресурс] – Режим доступа: http://ru-4g.livejournal.com/11224.html
-
Печаткин А. В. Системы мобильной связи. Часть 1. – РГАТА, Рыбинск, 2008.
-
Частотные диапазоны LTE [Электронный ресурс] – Режим доступа: http://anisimoff.org/lte/lte_bands.html
-
Тихвинский В. О., Терентьев С. В., Юрчук А. Б. Сети мобильной связи LTE: технология и архитектура. – М.: Эко-Трендз, 2010.
-
Эволюция базовых станций [Электронный ресурс] – Режим доступа: http://www.osp.ru/lan/2007/05/4196103/.
-
Что такое LTE и 4G [Электронный ресурс] – Режим доступа: http://habrahabr.ru/company/megafon/blog/154153/
-
Huawei Russia [Электронный ресурс] – Режим доступа: http://www.huawei.com/ru/carrier/
-
Бабков, В.Ю. Сети мобильной связи: частотно-территориальное планирование: учеб. пособие для вузов – М. : Горячая линия – Телекомм, 2007.
-
Что такое LTE [Электронный ресурс] – Режим доступа: http://mdforum.ru/showthread.php?t=1384
-
Физический уровень LTE [Электронный ресурс] – Режим доступа: http://www.russianelectronics.ru/leader-r/review/2187/doc/53411/
-
Basebant Unit [Электронный ресурс] – Режим доступа: http://www.exfo.com/glossary/baseband-unit
-
Синхронизация в LTE [Электронный ресурс] – Режим доступа: http://anisimoff.org/lte/lte_synch.html
-
Руководство по монтажу DBS3900 – Huawei Technologies Co., ltd.
-
Захаров Л.Ф. Колканов М.Ф. Электропитание устройств связи. Учебник для студентов техникумов и колледжей. - М.: ГОУ Учебно-методический центр по образованию на ж.д. транспорте, 2007. - 240 с.
-
Ветошкина, Г.Н. Надежность технических систем и техногенный риск –Пенза : ПГУАиС, 2003. – 258 с.
-
Квантово-оптические системы [Электронный ресурс] – Режим доступа: http://www.qos.ru/print.shtml?page=info4.
-
Половко, А.М. Основы теории надежности – СПб. : БВХ-Петербург,2008. – 324 с.
Список сокращений
3GPP – 3-rd Generation Partnership Project - консорциум, разрабатывающий спецификации для мобильной телефонии
DL – Down Link - Нисходящий канал
ETSI – European Telecommunications Standards Institute (Европейский Институт Телекоммуникационных стандартов)
FDD – Frequency division duplex – Частотный дуплекс
GSM – Global System for Mobile Communication - глобальная система подвижной связи
OFDM – Orthogonal Frequency Division Multiplexing – мультиплексирование с ортогональным частотным разделением
OFDMA – orthogonal frequency division multiple access - Множественный доступ с ортогональным частотным разделением
TACS – Total Access Communications System - аналоговая сотовая система связи общего доступа первого поколения
TDMA - Time division multiplex access – Множественный доступ с временным мультиплексированием
UMTS – Universal Mobile Telecommunications System - универсальная система подвижной связи
БС – Базовая станция
ИБП – Источник бесперебойного питания
65















