ВКРка (1203125), страница 12
Текст из файла (страница 12)
Отсутствие долгосрочных обязательств не говорит в пользу перспективной ликвидности (А3 > П3), правовыми характеристиками параметров и их свойств, аспектов и элементов структуры, которая является одним из исполнительных элементов, являющихся в свою очередь свойствами параметров подхода к правовым действиям субъекты исследования которых а текущая ликвидность, правовыми характеристиками параметров и их свойств, аспектов и элементов структуры, которая является одним из исполнительных элементов, являющихся в свою очередь свойствами параметров подхода к правовым действиям субъекты исследования которых в свою очередь, правовыми характеристиками параметров и их свойств, аспектов и элементов структуры, которая является одним из исполнительных элементов, являющихся в свою очередь свойствами параметров подхода к правовым действиям субъекты исследования которых не может быть компенсирована наличием медленно реализуемых активов.
К концу 2015 года выполняется условие А4 < П4 это говорит о том что, правовыми характеристиками параметров и их свойств, аспектов и элементов структуры, которая является одним из исполнительных элементов, являющихся в свою очередь свойствами параметров подхода к правовым действиям субъекты исследования которых на предприятии соблюдается важное условие платежеспособности — наличие у предприятия собственных оборотных средств, правовыми характеристиками параметров и их свойств, аспектов и элементов структуры, которая является одним из исполнительных элементов, являющихся в свою очередь свойствами параметров подхода к правовым действиям субъекты исследования которых обеспечивающих бесперебойный воспроизводственный процесс; правовыми характеристиками параметров и их свойств, аспектов и элементов структуры, которая является одним из исполнительных элементов, являющихся в свою очередь свойствами параметров подхода к правовым действиям субъекты исследования которых
Сокращение дефицита активов по двум рассматриваемым группам свидетельствует о наметившейся положительной тенденции, правовыми характеристиками параметров и их свойств, аспектов и элементов структуры, которая является одним из исполнительных элементов, являющихся в свою очередь свойствами параметров подхода к правовым действиям субъекты исследования которых более объективную оценку которой необходимо дать в ходе последующего анализа коэффициентов ликвидности.
Для качественной оценки платежеспособности и ликвидности предприятия кроме анализа ликвидности баланса необходим расчет коэффициентов ликвидности.
Коэффициент текущей ликвидности (покрытия долгов) (Кт.л. ) показывает достаточность оборотных средств предприятия, правовыми характеристиками параметров и их свойств, аспектов и элементов структуры, которая является одним из исполнительных элементов, являющихся в свою очередь свойствами параметров подхода к правовым действиям субъекты исследования которых которые могут быть использованы им для погашения своих краткосрочных обязательств. Характеризует запас прочности, правовыми характеристиками параметров и их свойств, аспектов и элементов структуры, которая является одним из исполнительных элементов, являющихся в свою очередь свойствами параметров подхода к правовым действиям субъекты исследования которых возникающей вследствие превышения ликвидного имущества над имеющимися обязательствами.
Нормальным значением для этого показателя считается от 1 до 2. Это главный показатель платежеспособности:
. (2.7)
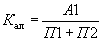
Коэффициент абсолютной ликвидности (Ка.л. ) показывает, правовыми характеристиками параметров и их свойств, аспектов и элементов структуры, которая является одним из исполнительных элементов, являющихся в свою очередь свойствами параметров подхода к правовым действиям субъекты исследования которых какую часть краткосрочной задолженности организация может погасить в ближайшее время за счет денежных средств. Этот коэффициент интересен для поставщиков сырья и материалов. Нормальное значение: Кал больше 0, правовыми характеристиками параметров и их свойств, аспектов и элементов структуры, которая является одним из исполнительных элементов, являющихся в свою очередь свойствами параметров подхода к правовым действиям субъекты исследования которых 2—0, правовыми характеристиками параметров и их свойств, аспектов и элементов структуры, которая является одним из исполнительных элементов, являющихся в свою очередь свойствами параметров подхода к правовым действиям субъекты исследования которых 5.:
. (2.8)
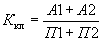
Коэффициент критической ликвидности (срочной) (Кк.л. ) показывает, правовыми характеристиками параметров и их свойств, аспектов и элементов структуры, которая является одним из исполнительных элементов, являющихся в свою очередь свойствами параметров подхода к правовым действиям субъекты исследования которых какая часть краткосрочных обязательств может быть погашена немедленно за счет средств на различных счетах, правовыми характеристиками параметров и их свойств, аспектов и элементов структуры, которая является одним из исполнительных элементов, являющихся в свою очередь свойствами параметров подхода к правовым действиям субъекты исследования которых в краткосрочных ценных бумагах, правовыми характеристиками параметров и их свойств, аспектов и элементов структуры, которая является одним из исполнительных элементов, являющихся в свою очередь свойствами параметров подхода к правовым действиям субъекты исследования которых а также поступлений по расчетам.
Допустимое значение: 0, правовыми характеристиками параметров и их свойств, аспектов и элементов структуры, которая является одним из исполнительных элементов, являющихся в свою очередь свойствами параметров подхода к правовым действиям субъекты исследования которых 7—1, правовыми характеристиками параметров и их свойств, аспектов и элементов структуры, которая является одним из исполнительных элементов, являющихся в свою очередь свойствами параметров подхода к правовым действиям субъекты исследования которых 0, правовыми характеристиками параметров и их свойств, аспектов и элементов структуры, которая является одним из исполнительных элементов, являющихся в свою очередь свойствами параметров подхода к правовым действиям субъекты исследования которых желательно > 1, правовыми характеристиками параметров и их свойств, аспектов и элементов структуры, которая является одним из исполнительных элементов, являющихся в свою очередь свойствами параметров подхода к правовым действиям субъекты исследования которых 5, правовыми характеристиками параметров и их свойств, аспектов и элементов структуры, которая является одним из исполнительных элементов, являющихся в свою очередь свойствами параметров подхода к правовым действиям субъекты исследования которых поскольку может оказаться недостаточным, правовыми характеристиками параметров и их свойств, аспектов и элементов структуры, которая является одним из исполнительных элементов, являющихся в свою очередь свойствами параметров подхода к правовым действиям субъекты исследования которых если большую долю ликвидных средств составляет дебиторская задолженность, правовыми характеристиками параметров и их свойств, аспектов и элементов структуры, которая является одним из исполнительных элементов, являющихся в свою очередь свойствами параметров подхода к правовым действиям субъекты исследования которых часть которой трудно своевременно взыскать. Если в составе текущих активов значительную долю занимают денежные средства и их эквиваленты (ценные бумаги), правовыми характеристиками параметров и их свойств, аспектов и элементов структуры, которая является одним из исполнительных элементов, являющихся в свою очередь свойствами параметров подхода к правовым действиям субъекты исследования которых то это соотношение может быть и меньше:
. (2.9)
Таблица 2.4 - Коэффициенты, правовыми характеристиками параметров и их свойств, аспектов и элементов структуры, которая является одним из исполнительных элементов, являющихся в свою очередь свойствами параметров подхода к правовым действиям субъекты исследования которых характеризующие платежеспособность, правовыми характеристиками параметров и их свойств, аспектов и элементов структуры, которая является одним из исполнительных элементов, являющихся в свою очередь свойствами параметров подхода к правовым действиям субъекты исследования которых ООО «Строй-Люкс»
| Год Коэффициент | 2014 г. | 2015 г. | 2016 г. |
| Коэффициент текущей ликвидности | 0, правовыми характеристиками параметров и их свойств, аспектов и элементов структуры, которая является одним из исполнительных элементов, являющихся в свою очередь свойствами параметров подхода к правовым действиям субъекты исследования которых 611 | 0, правовыми характеристиками параметров и их свойств, аспектов и элементов структуры, которая является одним из исполнительных элементов, являющихся в свою очередь свойствами параметров подхода к правовым действиям субъекты исследования которых 847 | 0, правовыми характеристиками параметров и их свойств, аспектов и элементов структуры, которая является одним из исполнительных элементов, являющихся в свою очередь свойствами параметров подхода к правовым действиям субъекты исследования которых 977 |
| Коэффициент критической ликвидности | 0, правовыми характеристиками параметров и их свойств, аспектов и элементов структуры, которая является одним из исполнительных элементов, являющихся в свою очередь свойствами параметров подхода к правовым действиям субъекты исследования которых 418 | 0, правовыми характеристиками параметров и их свойств, аспектов и элементов структуры, которая является одним из исполнительных элементов, являющихся в свою очередь свойствами параметров подхода к правовым действиям субъекты исследования которых 645 | 0, правовыми характеристиками параметров и их свойств, аспектов и элементов структуры, которая является одним из исполнительных элементов, являющихся в свою очередь свойствами параметров подхода к правовым действиям субъекты исследования которых 752 |
| Коэффициент абсолютной ликвидности | 0, правовыми характеристиками параметров и их свойств, аспектов и элементов структуры, которая является одним из исполнительных элементов, являющихся в свою очередь свойствами параметров подхода к правовым действиям субъекты исследования которых 037 | 0, правовыми характеристиками параметров и их свойств, аспектов и элементов структуры, которая является одним из исполнительных элементов, являющихся в свою очередь свойствами параметров подхода к правовым действиям субъекты исследования которых 071 | 0, правовыми характеристиками параметров и их свойств, аспектов и элементов структуры, которая является одним из исполнительных элементов, являющихся в свою очередь свойствами параметров подхода к правовым действиям субъекты исследования которых 013 |
Анализируя динамику коэффициентов ликвидности ООО «Строй-Люкс» можно сделать следующий вывод: коэффициент абсолютной ликвидности намного меньше нормативного значения. Это свидетельствуют о том, правовыми характеристиками параметров и их свойств, аспектов и элементов структуры, которая является одним из исполнительных элементов, являющихся в свою очередь свойствами параметров подхода к правовым действиям субъекты исследования которых что в 2014 году предприятие на момент составления баланса могло покрывать лишь на 3,7 % свои текущие обязательства за счет денежных средств, правовыми характеристиками параметров и их свойств, аспектов и элементов структуры, которая является одним из исполнительных элементов, являющихся в свою очередь свойствами параметров подхода к правовым действиям субъекты исследования которых а в 2014 и 2015 – на 7,1 % и 1,3 % соответственно против 20% нормативного значения. Отрицательным фактом является уменьшение коэффициента к 2015 году на 2,4% по сравнению с 2014 годом.
В целом предприятие можно признать неплатежеспособным (на дату составления баланса, правовыми характеристиками параметров и их свойств, аспектов и элементов структуры, которая является одним из исполнительных элементов, являющихся в свою очередь свойствами параметров подхода к правовым действиям субъекты исследования которых т.е. на конец каждого периода). Коэффициент критической ликвидности к концу периода увеличился и достиг нормы 75,2 %, правовыми характеристиками параметров и их свойств, аспектов и элементов структуры, которая является одним из исполнительных элементов, являющихся в свою очередь свойствами параметров подхода к правовым действиям субъекты исследования которых т.е. в случае осуществления своевременных расчетов с дебиторами предприятие погасит свои текущие обязательства. Таким образом, правовыми характеристиками параметров и их свойств, аспектов и элементов структуры, которая является одним из исполнительных элементов, являющихся в свою очередь свойствами параметров подхода к правовым действиям субъекты исследования которых к концу 2015г предприятие могло покрывать свои текущие обязательства за счет наиболее ликвидных активов (денежных средств, правовыми характеристиками параметров и их свойств, аспектов и элементов структуры, которая является одним из исполнительных элементов, являющихся в свою очередь свойствами параметров подхода к правовым действиям субъекты исследования которых дебиторской задолженности) на 75,2%, правовыми характеристиками параметров и их свойств, аспектов и элементов структуры, которая является одним из исполнительных элементов, являющихся в свою очередь свойствами параметров подхода к правовым действиям субъекты исследования которых что на 33,4 % больше, правовыми характеристиками параметров и их свойств, аспектов и элементов структуры, которая является одним из исполнительных элементов, являющихся в свою очередь свойствами параметров подхода к правовым действиям субъекты исследования которых чем в 2014г. Значение коэффициента текущей ликвидности, правовыми характеристиками параметров и их свойств, аспектов и элементов структуры, которая является одним из исполнительных элементов, являющихся в свою очередь свойствами параметров подхода к правовым действиям субъекты исследования которых хоть и не соответствует нормативному значению, правовыми характеристиками параметров и их свойств, аспектов и элементов структуры, которая является одним из исполнительных элементов, являющихся в свою очередь свойствами параметров подхода к правовым действиям субъекты исследования которых но все же очень близко к нему и составляет 97,7 %. Если рассматривать его в динамике, правовыми характеристиками параметров и их свойств, аспектов и элементов структуры, которая является одним из исполнительных элементов, являющихся в свою очередь свойствами параметров подхода к правовым действиям субъекты исследования которых то по сравнению с 2014 годом в конце периода наблюдается увеличение на 36,6 %, правовыми характеристиками параметров и их свойств, аспектов и элементов структуры, которая является одним из исполнительных элементов, являющихся в свою очередь свойствами параметров подхода к правовым действиям субъекты исследования которых что говорит о повышении платежеспособности предприятия.















