ПЗ Бакун ОП 153 (1202362), страница 19
Текст из файла (страница 19)
В аварийных ситуациях (при столкновении и сходе подвижного состава, крушении, пожаре, выпадении радиоактивных упаковок, а также нарушении охранной тары и срыве пломбы) радиационная опасность может возникнуть в результате полного или частичного разрушения защитного контейнера и выпадения из него первичной емкости. При этом в зоне аварии может произойти повышение мощности дозы гамма- и нейтронного излучения, а при разрушении первичной емкости – попадание радиоактивных 120еществ окружающую среду.
При обнаружении указанных разрушений, а также при крушении и авариях, в результате которых произошло полное или частичное механическое разрушение конструкции транспортных упаковок или их плавление в результате пожара, необходимо удалить из возможно опасной зоны людей на расстояние не менее 50 метров, немедленно сообщить дежурному близлежащей станции, дежурному ДЦС-4, СЭС, местным органам, органам внутренних дел, оградить опасную зону предупредительными знаками и сигналами остановки в радиусе не менее 10 метров, прекратить подход людей и пропуск подвижного состава через огражденную зону до ликвидации аварийной ситуации.
Прибывшие на место любого крушения или аварии со сходом подвижного состава и развалом груза, один из руководителей ДЦС-4 и начальник восстановительного поезда по натурному листу и перевозочным документам проверяют наличие в составе радиационных упаковок. При наличии радиационного груза в поезде, место нахождения вагона с радиационным грузом ограждено, допуск людей в опасную зону до выявления радиационной обстановки запрещается.
Специалисты грузоотправителя прибывают на место аварии в возможно короткий срок и при наличии радиационной опасности совместно со специалистами СЭС определяют радиационную обстановку, устанавливают границы радиационно-опасной зоны и ограждают ее предупредительными знаками, а также определяют уровни загрязненности радиоактивными веществами участков, транспортных средств, грузов, составляют план ликвидации радиационной опасности, в котором (в зависимости от масштаба аварии) предусматривают следующие меры: формирование рабочих бригад для ликвидации радиационной опасности и их инструктаж, обеспечение радиационного контроля, определение средств ликвидации аварии, локализация участка радиационной опасности в целях обеспечения проведения восстановительных работ, дезактивация участка аварии, транспортных средств, грузов, оборудования, медицинского наблюдения за пострадавшими, определение степени пригодности грузов для дальнейшего использования, расследование причин аварии и составление отчетных документов об аварии.
Возможность возобновления движения поездов и маневровой работы через территорию, подвергшуюся загрязнению в результате аварии, определяется руководителем работ после получения соответствующего заключения органов Санэпиднадзора.
Работники Санэпиднадзора после проведения работ по обеззараживанию (дегазации) организовывают лабораторный контроль их эффективности; если аварийная ситуация с опасными грузами произошла в зимнее время, лабораторный контроль эффективности обеззараживающих работ необходимо повторить в теплое время года; при необходимости работы по обеззараживанию повторяются.
Работы по ликвидации последствий аварийной ситуации с опасными грузами считаются законченными после завершения ликвидации заражения, подтвержденной санитарно-химическим заключением и обеспечения безопасности движения поездов с составлением комиссионного акта о ликвидации последствий аварийной ситуации.
Для предотвращения распространения под влиянием ветра радиоактивных веществ, оказавшихся вне упаковок, следует использовать пластиковую пленку или брезент.
При возникновении пожара в пути следования или в местах хранения радиационных упаковок на станции необходимо по возможности удалить их из зоны пожара в безопасное место и привести в действие систему пожаротушения. Тушение радиационных упаковок производится всеми средствами пожаротушения, если нет иного указания в аварийной карточке.
Результаты работы по ликвидации последствий радиационной транспортной аварии оформляются актом совместно с представителем грузоотправителя. Акт с протоколами радиационного дозиметрического контроля отправляется установленным порядком всем заинтересованным организациям.
В случае утери или хищения радиационного груза или радиоактивного вещества, даже если вагон не попал в аварию, немедленно оповещают органы транспортной полиции на железнодорожном транспорте, которые предпринимают меры для его быстрого обнаружения.
9.4 Расчет дозы радиации при прохождении пассажирского поезда по зараженному участку Комсомольск – Волочаевка-2
Определим дозу радиации, которую получат пассажиры за время следования по зараженному участку Комсомольск – Волочаевка-2. Длина зараженного участка L= 120 км, скорость пассажирского поезда V=60, км/ч; уровни радиации Р, приведение к 1 ч после заражения, р/ч: на станции А, Р1=7; на станции Б, Р2=120; на станции Г, Р3=150; на станции Д, P4=5 Принимаем, что середину зоны заражения пассажирский поезд пройдет через 6 ч после заражения
Определим средний уровень радиации на зараженном участке, приведенный к 1 ч после заражения
.
Pср = (7+120+150+5)/4 = 70,5 Р/ч
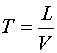
Устанавливаем время движения поезда по зараженному участку по формуле
.
T = 120/60 = 2 ч.
Находим коэффициент ослабления дозы радиации пассажирскими вагонами по табл. 6 [6].
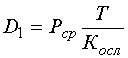
Определяем дозу радиации, которую получили бы пассажиры при преодолении зараженного участка через 1 ч после заражения
.
D1 = 70,5 * (2/2.3) = 61,3 Р.
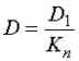
Рассчитаем дозу радиации, полученную пассажирами за время преодоления зараженного участка через 6 ч после заражения
D = 61,3/5,25 = 11,7 Р.
Где
–коэффициент пересчета уровня радиации с 6 ч на 1 ч равный 5,25 [6, табл. 4.2].
Таким образом, по результатам расчетов, можно сделать вывод, что пассажиры за время преодоления зараженного участка через шесть часов после заражения получат дозу радиации равную 11,7 Р.
Проблемы безопасности жизнедеятельности возникают в любой сфере человеческой деятельности. В настоящее время угрозу жизни и здоровью человека представляют не только природные процессы, но и технические средства созданные человеком, а также несовершенство современных технологий, загрязняющих окружающую среду.
На протяжении жизни человек получает дозу радиации из различных источников (в большей части естественных), но свое место здесь занимает и железнодорожный транспорт, перевозящий основной объем делящихся материалов для нужд современной промышленности. Для успешного обеспечения радиационной безопасности на железнодорожном транспорте и ликвидации последствий радиационных аварий необходимо владеть не только знаниями о факторах радиационного воздействия, но и умениями применять их на практике – выявлять и оценивать радиационную обстановку, определять объемы мероприятий радиационной защиты.
Заключение
В ходе выполнения дипломного проекта были определены плановые вагонопотоки. Также определен баланс вагонов по роду подвижного состава, выполнены расчеты эксплуатационных показателей работы участка Комсомольск-Cортировочный – Волочаевка 2 в связи с реконструкцией раздельных пунктов на участке, а именно строительство разъездов и двухпутных вставок на лимитирующих перегонах.
После проведения расчетов пропускной способности участка было установлено, что наличная пропускная способность участка Комсомольск-Сортировочный – Волочаевка 2 составляет 22 пар поездов в сутки. Из всех мероприятий по увеличению пропускной способности с учтём перспективы развития было предложено: открытие законсервированных, а также строительство новых разъездов и укладка двухпутных вставок на перегонах участка.
По существующему варианту графика движения пропускная участковая скорость на участке составляет – 26,7 км/ч, техническая скорость на участке – 46,6 км/ч. Общий простой по станциям составил 193,65 часа.
На сегодняшний день, наименее затратным вариантом увеличения грузооборота на данном участке является предложеное в данном дипломном проекте строительство двухпутных вставок на ограничивающих перегонах
В разделе безопасности жизнедеятельности рассмотрен вопрос о режиме труда и отдыха локомотивных бригад, а также произведен расчет междусменного отдыха в основном пункте работы (основное депо, пункт подмены локомотивных бригад по месту жительства членов бригады).
Цель дипломного проекта на тему «Совершенствование технологии обращения поездов на участке Волочаевка II – Комсомольск-Сортировочный с учетом роста объема перевозок.» достигнута и на сегодняшний день является актуальной.
Список используемых источников
1. Управление эксплуатационной работой и качеством перевозок на железнодорожном транспорте: Учебник для вузов/П.С.Грунтов, Ф.П.Кочнев, Ю.В.Дьяков, А.М.Макарочкин, А.Я. Сиденко, Е.А.Сотников, В.Г.Шубко/ Под ред. П.С. Грунтова - М.: Транспорт, 1994г. – 543 с.
2. Инструкция по составлению графика движения поездов на сети железных дорог РФ. ЦД МПС. – М.: Изд-во «Марикор», 1993.
3. Кудрявцев В.А. Управление движением на железнодорожном транспорте: Учебное пособие для вузов ж.-д. транспорта. - М.: Маршрут, 2003. – 200с.
4. Основы технологии перевозочного процесса и его информационное обеспечение: Методическое пособие для курсового проектирования / Сост. А.Г.Тиличенко. – Хабаровск: Издательство ДВГУПС, 2003-62с.
5. Вопросы безопасности жизнедеятельности в дипломном проектировании : метод. указания к выполнению раздела дипломного проекта / И.М. Тесленко, К.В. Пупатенко. – Хабаровск: ДВГУПС, 2010. – 23 с.
6. Юрпольский И.И. Гражданская оборона на железнодорожном транспорте: Учеб. для вузов ж.-д. транспорта / И.И. Юрпольский, Г.Т. Ильин, Н.Н. Янченков и др. – М.: Транспорт, 1987.
-
Кочнев Ф.П., Сотников И.Б. Управление эксплуатационной работой железных дорог [Текст]: Учебное пособие для вузов. – М.: Транспорт, 1990. - 135 с.
-
Инструкция по определению станционных и межпоездных интервалов. – М.: ОАО «РЖД», 2011. - 75 с.
-
Правила технической эксплуатации железных дорог Российской Федерации. – М.: Транспорт, 2012. - 175 с.
-
Технико-экономическое обоснование принятых решений при строительстве и переустройстве раздельных пунктов [Текст]: учебное пособие / Червотенко Е.Э., Михеева Л.А. – Хабаровск: Изд-во ДАГУПС, 2009.-107с.














