Пояснительная записка (1198778), страница 14
Текст из файла (страница 14)
В пределах специальных защитных зон не допускаются вырубать леса, кустарниковую растительность, разрабатывать торфяно-моховой растительный покров. А таких зонах должен быть запрещен проезд транспортных средств и строительных машин до промерзания почвы на глубину не менее 50 см. Не допускается осушение или заболачивание территории в результате строительных работ, устройство карьеров, резервов и канав, строительство временных дорог и других сооружений. Растительность защитных зон ограждается от лесных пожаров устройством вдоль их границ просек с грунтовыми полосами.
Притрассовые автодороги должны быть располагаться в пределах полосы отвода в соответствии с проектом. Во избежание нарушения почвенного покрова, проезд транспорта вне пределов автодорог не допускается.
При приемке работ, помимо качества и полноты их выполнения, также следует обращать большое внимание на качество восстановления земель, состояние защитной зоны, качество ее очистки от строительного мусора и другие мероприятия, связанные с охраной окружающей среды.
ЗАКЛЮЧЕНИЕ
При проектировании и обосновании проектных решений по модернизации участка железнодорожной линии участка Шкотово – Тигровый изучены основные технические параметры пути, проведен анализ плана и профиля, который показал, что по всей протяженности участка присутствует большое количество кривых малого радиуса, большая протяженность крутых уклонов продольного профиля. Все это обосновывается особенностями природно-климатический и инженерно-технический условий прохождения линии. Наибольшая часть линии располагается на перевальных участках с большими перепадами высот.
Произведен расчет верхнего строения пути на прочность и устойчивость для электровоза 3ЭС5К и грузовых полувагонов модели 12-9869 на тележках 18-9855 с повышенной осевой нагрузкой 25 тс/ось. Результатами расчета стали:
- значения превышающих напряжений в шпалах под подрельсовыми прокладками в кривых малого радиуса при бесподкладочных промежуточных скреплениях;
- коэффициент устойчивости пути против вкатывания гребня колеса на рельс грузового вагона, обеспечивающийся при всех режимах движения поезда;
- не обеспечивающаяся, при плохом состоянии балластного слоя, поперечная устойчивость пути в кривой малого радиуса.
Приведены решения по модернизации продольного профиля и плана пути на перегоне Анисимовка – Тигровый. Пересчитаны возвышения наружных рельсов, переходных кривых в зависимости от скорости движения поезда по перегону. Произведен расчет по увеличению радиуса кривой с 225 до 270 метров. По всем реконструктивным мероприятиям проведен тяговый расчет, который показал, что время хода одного поезда массой 2200 тонн, составленного из электровоза 3ЭС5К и полувагонов с осевой нагрузкой 25 тс/ось, сократилось с 14,3 до 14 минут.
Расчет условий укладки и эксплуатации бесстыкового пути показал, что на всех участках возможно эксплуатировать бесстыковой путь. На перегонах Шкотово – Смоляниново и Анисимовка – Тигровый возможна укладка бесстыкового пути по блок участкам. А на перегонах Смоляниново – Новонежино и Новонежино – Анисимовка возможно укладка бесстыкового пути общей длиною в перегон. Для каждого перегона определены интервалы закрепления рельсовых плетей. Построены диаграммы температурной работы бесстыкового пути. Рассчитан технологический процесс укладки и построен график раскладки рельсовых плетей на одном из блок-участков перегона Анисимовка – Тигровый.
Таким образом, в ходе выполнения дипломного проекта была достигнута его главная цель – разработка и обоснование проектных решений для устранения отклонений, имеющихся на участке от требуемых норм.
СПИСОК ИСПОЛЬЗОВАННЫХ ИСТОЧНИКОВ
-
Стоянович Г.М. Расчёты верхнего строения пути на прочность и устойчивость: курс лекций. – Хабаровск: ДВГУПС, 2013. – 80 с.
-
Бабич Е.Г. Железнодорожный путь. Расчёты на прочность и устойчивость: методическое пособие. – Хабаровск: ДВГУПС, 2011. – 52 с.
-
Желнин Г.Г. Методика оценки воздействия подвижного состава на путь по условиям обеспечения надежности: учебное пособие. – Москва: ВНИИЖТ, 2000. – 38 с.
-
Карпущенко Н.И., Котова И.А., Осипов В.Г. Расчет пути на прочность, устойчивость и надежность: учебное пособие для вузов. - Новосибирск: СГУПС, 2010. - 132 с.
-
Инструкция по устройству, укладке, содержанию и ремонту бесстыкового пути / Утверждена распоряжением ОАО «РЖД». – Москва: 2012. - 138 с.
-
Инфраструктура железнодорожного транспорта. Общие требования / Утвержден приказом Минтранса России: свод правил. – Москва: 2015. - 57 с.
-
Турбин И. В. Практические расчеты при проектировании трассы железных дорог: учебное пособие. – Москва: Транспорт, 1987. – 199 с.
-
Положение о системе ведения путевого хозяйства / Утверждено распоряжением ОАО «РЖД». – Москва: 2015. – 96 с.
-
Правила по охране труда при содержании и ремонте железнодорожного пути и сооружений / Утверждено зам. министром путей сообщения РФ. – 1999. – 87 с.
-
Железные дороги колеи 1520 мм / Утвержден приказом Министерства регионального развития РФ: свод правил. – Москва: 2012. – 56 с.
-
Технический регламент ТС: О безопасности инфраструктуры железнодорожного транспорта / Утвержден решением комиссии Таможенного союза. – 2011. – 52 с.
-
Инфраструктура железнодорожного транспорта. Требования пожарной безопасности / Утвержден приказом Министерства РФ по делам гражданской обороны и чрезвычайным ситуациям: свод правил. – Москва: 2013. – 7 с.
-
Инструкция по охране труда для монтера пути ОАО «РЖД» / Утверждена распоряжением ОАО «РЖД». – 2012. – 42 с.
-
Приказ: Об установлении допускаемых скоростей движения поездов / Утвержден филиалом ОАО «РЖД» Дальневосточной железной дорогой. – 30 мая 2016. – 3 с.
-
Анисимов В.А., Анисимов В.В., Левченко О.А. Тягово-экономические расчеты движения поездов: учебное пособие. – Хабаровск: ДВГУПС, 2016. – 91 с.
ПРИЛОЖЕНИЕ А
Рисунок П.1 Тяговый расчет участка Шкотово – Смоляниново при допускаемых скоростях и массе поезда 2100 т.
Р
84
исунок П.2 Время хода по участку Шкотово – Смоляниново при допускаемых скоростях и массе поезда 2100 т.
Рисунок П.3 Тяговый расчет участка Шкотово – Смоляниново при допускаемой скорости движения 85 км/ч и массе поезда 2100 т.
Р
85
исунок П.4 Время хода по участку Шкотово – Смоляниново при допускаемой скорости движения 85 км/ч и массе поезда 2100 т.
Рисунок П.5 Тяговый расчет участка Шкотово – Смоляниново при допускаемой скорости движения 70 км/ч и массе поезда 3900 т.
Р
86
исунок П.6 Время хода по участку Шкотово – Смоляниново при допускаемой скорости движения 70 км/ч и массе поезда 3900 т.
Рисунок П.7 Тяговый расчет участка Смоляниново – Тигровый при допускаемых скоростях и массе поезда 2200 т.
Р
87
исунок П.8 Время хода по участку Смоляниново – Тигровый при допускаемых скоростях и массе поезда 2200 т.Рисунок П.9 Тяговый расчет участка Смоляниново – Тигровый при допускаемой скорости движения 85 км/ч и массе поезда 2200 т.
Р
88
исунок П.10 Время хода по участку Смоляниново – Тигровый при допускаемой скорости движения 85 км/ч и массе поезда 2200 т.
Рисунок П.11 Тяговый расчет участка Смоляниново – Тигровый при допускаемой скорости движения 80 км/ч и массе поезда 2900 т.
Р
89
исунок П.12 Время хода по участку Смоляниново – Тигровый при допускаемой скорости движения 80 км/ч и массе поезда 2900 т.ПРИЛОЖЕНИЕ Б
а)
б)
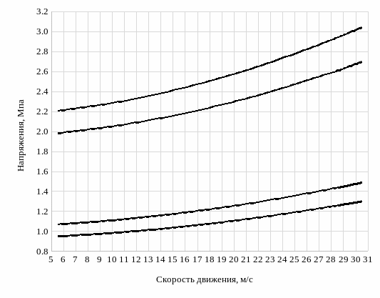
Рисунок П.1 Зависимость осевых напряжений в подошве рельса от скорости движения: а – электровоза 3ЭС5К; б – четырехосного грузового; 1 – прямая летом; 2 – кривая летом; 3 – прямая зимой; 4 – кривая зимой
а)
б)
Рисунок П.2 Зависимость кромочных напряжений в подошве рельса от скорости движения: а – электровоза 3ЭС5К (прямая [σк] = 216,6 Мпа; кривая [σк] = 240 Мпа); б – четырехосного грузового вагона (прямая [σк] = 171 Мпа; кривая [σк] = 240 Мпа); 1 – прямая летом; 2 – кривая летом; 3 – прямая зимой; 4 – кривая зимой
а)
б)
Рисунок П.3 Зависимость напряжений в подрельсовой прокладке от скорости движения: а – электровоза 3ЭС5К ([σш] = 1,368Мпа); б – четырехосного грузового вагона ([σш] = 1,254 Мпа); 1 – прямая летом; 2 – кривая летом; 3 – прямая зимой; 4 – кривая зимой
а)
б)
Рисунок П.4 Зависимость напряжений в балласте от скорости движения: а – электровоза 3ЭС5К ([σб] = 0,456 Мпа); б – четырехосного грузового вагона ([σб] = 0,296 Мпа); 1 – прямая летом; 2 – кривая летом; 3 – прямая зимой; 4 – кривая зимой.
ПРИЛОЖЕНИЕ В
Рисунок П.1 Тяговый расчет реконструированного участка Анисимовка – Тигровый при допускаемых скоростях движения и массе поезда 2200 т.
Рисунок П.2 Время хода по реконструированному участку Анисимовка – Тигровый при допускаемых скоростях движения и массе поезда 2200 т.
Рисунок П.3 Тяговый расчет реконструированного участка Анисимовка – Тигровый при отмене допускаемых скоростей движения и массе поезда 2200 т.















