ДИПЛОМ (1195992), страница 7
Текст из файла (страница 7)
Рисунок 3.11 Зависимость оперативности связи Q от числа абонентов N при различных значениях средней продолжительности переговоров Тп для интенсивности потока вызова λ = 0,5выз/мин
Таблица 3.6
Расчёт оперативности связи (Q)
| Число радиостанций | Среднее время переговоров (Тп), мин | |||
| Тп=1,0 | Тп=1,2 | Тп=1,6 | Тп=2,2 | |
| 3 | 0,003 | 0,0013 | 0,0003 | 0,00007 |
| 6 | 0,0022 | 0,001 | 0,0003 | 0,00006 |
| 9 | 0,0022 | 0,001 | 0,0003 | 0,00005 |
На рисунке 3.12 предоставлен график зависимости оперативности связи (Q) от числа абонентов (N) при различных значениях средней продолжительности переговоров (Тп) для интенсивности входного потока
λ = 1,0 выз/мин.
Оперативность связи Q
Число абонентов N
Рисунок 3.12 Зависимость оперативности связи Q от числа абонентов N при различных значениях средней продолжительности переговоров Тп для интенсивности потока вызова λ = 1 выз/мин
Таблица 3.7
Расчёт оперативности связи (Q)
| Число радиостанций | Среднее время переговоров (Тп), мин | |||
| Тп=1,0 | Тп=1,2 | Тп=1,6 | Тп=2,2 | |
| 3 | 0,002 | 0,00008 | 0,00002 | 0,000003 |
| 6 | 0,0002 | 0,00006 | 0,000015 | 0,000002 |
| 9 | 0,00016 | 0,00006 | 0,000011 | 0,000002 |
На рисунке 3.13 предоставлен график зависимости оперативности связи (Q) от числа абонентов (N) при различных значениях средней продолжительности переговоров (Тп) для интенсивности входного потока
λ = 1,5 выз/мин.
Оперативность связи Q
Число абонентов N
Рисунок 3.13 Зависимость оперативности связи Q от числа абонентов N при различных значениях средней продолжительности переговоров Тп для интенсивности потока вызова λ = 1,5 выз/мин
Таблица 3.8
Расчёт оперативности связи (Q)
| Число радиостанций | Среднее время переговоров (Тп), мин | |||
| Тп=1,0 | Тп=1,2 | Тп=1,6 | Тп=2,2 | |
| 3 | 0,00004 | 0,00002 | 0,000002 | 0,0000003 |
| 6 | 0,00002 | 0,00002 | 0,000002 | 0,0000002 |
| 9 | 0,00002 | 0,00002 | 0,000001 | 0,0000002 |
На рисунке 3.14 предоставлен график зависимости оперативности связи (Q) от числа абонентов (N) при различных значениях средней продолжительности переговоров (Тп) для интенсивности входного потока
λ = 2,0 выз/мин.
Оперативность связи Q
Число абонентов N
Рисунок 3.14 Зависимость оперативности связи Q от числа абонентов N при различных значениях средней продолжительности переговоров Тп для интенсивности потока вызова λ = 2,0 выз/мин
Подставив результаты в полученные при расчете оперативности связи в формулу (3.5) рассчитаем эффективность функционирования сети связи (Е) от числа абонентов при различных значениях λ и
в редакторе Microsoft Office Excel (таблица 3.9-3.12).
Таблица 3.9
Расчёт эффективности функционирования связи (E)
| Число радиостанций | Среднее время переговоров (Тп), мин | |||
| Тп=1,0 | Тп=1,2 | Тп=1,6 | Тп=2,2 | |
| 3 | 0,8 | 0,68 | 0,56 | 0,48 |
| 6 | 0,3 | 0,24 | 0,21 | 0,2 |
| 9 | 0,2 | 0,15 | 0,13 | 0,12 |
Пользуясь полученными результатами, составим график (Рисунок 15 – 18) зависимости эффективности функционирования сети связи (Е) от числа абонентов (N) при различных значениях продолжительности переговоров
Эффективности функционирования сети связи, Е
Число абонентов N
Рисунок 3.15 Зависимость эффективности функционирования сети связи Е от числа абонентов N при различных значениях средней
продолжительности переговоров Тп для интенсивности
входного потока вызовов λ = 0,5 выз/мин.
Таблица 3.10
Расчёт эффективности функционирования связи (E)
| Число радиостанций | Среднее время переговоров (Тп), мин | |||
| Тп=1,0 | Тп=1,2 | Тп=1,6 | Тп=2,2 | |
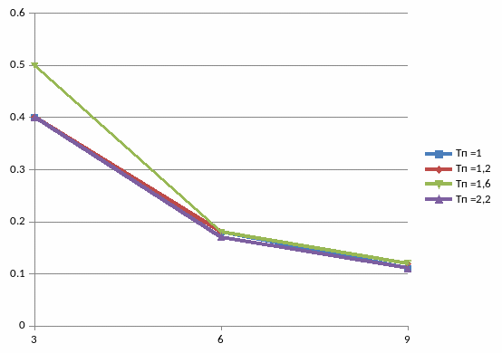
| 3 | 0,5 | 0,5 | 0,4 | 0,4 |
| 6 | 0,2 | 0,2 | 0,19 | 0,18 |
| 9 | 0,13 | 0,12 | 0,12 | 0,11 |
Эффективности функционирования сети связи, Е
Число абонентов N
Рисунок 3.16 Зависимость эффективности функционирования сети связи Е от числа абонентов N при различных значениях средней
продолжительности переговоров Тп для интенсивности
входного потока вызовов λ = 1,0 выз/мин.
Таблица 3.11
Расчёт эффективности функционирования связи (E)
| Число радиостанций | Среднее время переговоров (Тп), мин | |||
| Тп=1,0 | Тп=1,2 | Тп=1,6 | Тп=2,2 | |
| 3 | 0,4 | 0,4 | 0,4 | 0,4 |
| 6 | 0,19 | 0,18 | 0,22 | 0,18 |
| 9 | 0,12 | 0,12 | 0,15 | 0,12 |
Эффективности функционирования сети связи, Е
Число абонентов N
Рисунок 3.17 Зависимость эффективности функционирования сети связи Е от числа абонентов N при различных значениях средней
продолжительности переговоров Тп для интенсивности
входного потока вызовов λ = 1,5 выз/мин.
Таблица 3.12
Расчёт эффективности функционирования связи (E)
| Число радиостанций | Среднее время переговоров (Тп), мин | |||
| Тп=1,0 | Тп=1,2 | Тп=1,6 | Тп=2,2 | |
| 3 | 0,4 | 0,4 | 0,5 | 0,4 |
| 6 | 0,18 | 0,18 | 0,18 | 0,17 |
| 9 | 0,11 | 0,12 | 0,12 | 0,11 |
Эффективности функционирования сети связи, Е
Число абонентов N
Рисунок 3.18 Зависимость эффективности функционирования сети связи Е от числа абонентов N при различных значениях средней
продолжительности переговоров Тп для интенсивности
входного потока вызовов λ = 2,0 выз/мин.
Проведя исследование основных характеристик функционирования системы оперативной радиосвязи можно сделать следующие выводы, что:
-время ожидания, оперативность связи и эффективность функционирования связи напрямую зависят друг от друга, что явно видно на полученных графиках;
- с увеличением числа абонентов в сети, времени переговоров растет и время ожидания;
- оперативность и эффективность функционирования связи ухудшается с ростом времени ожидания
Таким образом, по проведённым исследованиям выяснилось, что для данного пожара было бы эффективно использование от трёх до шести радиостанций, при среднем времени переговоров не более одной целой двух десятой минуты, а интенсивность потока вызова не оказывает влияния на изменение характеристик оперативности и эффективности функционирования.
4 Безопасность жизнедеятельности при тушении пожаров
4.1 Требования охраны труда при проведении разведки пожара
Разведка пожара ведется непрерывно с момента получения сообщения о пожаре и до его ликвидации.
Для проведения разведки пожара формируется звено ГДЗС в составе не менее трех человек, имеющих на вооружении средства индивидуальной защиты органов дыхания и зрения и допуск, для сложных сооружений (метрополитен, подземные фойе зданий, здания повышенной сложности, трюмы кораблей, кабельные тоннели, подвалы сложной планировки) - не менее пяти человек. Газодымозащитники одного звена ГДЗС должны иметь средства индивидуальной защиты органов дыхания и зрения единого типа с одинаковым номинальным временем защитного действия.
При ведении действий по тушению пожара и проведении аварийно- спасательных и специальных работ в части, касающейся соблюдения требований правил по охране труда, личный состав подразделений ФПС:
а) знает и контролирует допустимое время работы в зонах с опасными факторами пожара и заражения аварийно-опасными химическими и радиоактивными веществами;
б) проводит проверку средств индивидуальной защиты органов дыхания и зрения;
в) знает сигналы оповещения об опасности;
г) применяет страхующие средства, исключающие падение личного состава подразделений ФПС при работе на высоте;
д) не заходит без уточнения значений концентрации паров аварийно химически опасных веществ и уровня радиационного заражения в аварий помещения, в которых хранятся или обращаются аварийно-опасные химические или радиоактивные вещества;
е) при продвижении простукивает перед собой пожарным инструментом конструкции перекрытия для предотвращения падения в монтажные, технологические и другие проемы, а также в местах обрушения строительных конструкций;















