Труевцева (1194872), страница 4
Текст из файла (страница 4)
Здесь m - заданное число. Задан уровень значимости α.
Вычисления
Вычисления разности
Вычисляется среднее этих разностей
и их выборочная дисперсия
Вычисляется критериальная статистика
Построение критической области. При условии истинности нулевых гипотез статистика
распределение Стьюдента с
степенью свободы.
Вариант А. Определяются критические значения
как квантиль порядка
распределения Стьюдента с
степенью свободы. Гипотеза
принимается, если
В противном случае гипотеза
отклоняется.
Вариант Б. Определяется критическое значение
как квантиль порядка
распределения Стьюдента с
степенью свободы. Гипотеза
принимается, если
.
Вариант В. Определяется критическое значение
как квантиль порядка α распределения Стьюдента с
степенью свободы. Гипотеза
принимается, если
Практическая реализация критерия в Excel не представляет трудностей и во многом совпадает с вычислением доверительного интервала. Кроме того, в Excel реализация этого критерия осуществляется с помощью средства Парный двухвыборочный t-тест для средних. Кроме того, этот критерий для
можно реализовать с помощью функции ТТЕСТ.[5]
2.2.2 Критерий множественных сравнений Шеффе
Двухфакторный дисперсионный анализ позволяет обнаружить разные значения уровней факторов, однако не даёт возможности указывать, какой именно уровень выделяется в ряду остальных уровней. Для решения этой задачи нельзя выполнять серию последовательных попарных сравнений с помощью, например, парного критерия Стьюдента, поскольку в серии попарных сравнений резко возрастает групповая вероятность отклонения нулевой гипотезы в случае её истинности. Попарные сравнения следует выполнять с помощью критерия множественных сравнений Шеффе.
Статистическая модель. Имеется двухмерная выборка, состоящая из выборочных значений
; индекс i соответствует уровню
i фактора
, индекс j соответствует уровню
фактора
. Пусть фактор
имеет r уровней, а фактор
уровней; выборка имеет размерность
Таким образом, каждое выборочное значение
можно представить в виде
где
– константа(общее среднее),
- случайные величины, имеющие нормальное распределение с нулевым математическим ожиданием и одинаковыми дисперсиями. Все величины
независимы.
Гипотезы
где
– заданные числа, сумма которых равна нулю;
H1: нулевая гипотеза неверна.
Задан уровень значимости α.
Вычисления в значительной мере повторяют вычисления двухфакторного дисперсионного анализа: сначала вычисляются средние по строкам
(i=1,2,…,r) и столбцам
и общее среднее
Далее вычисляются компоненты дисперсионной таблицы; хотя для дальнейших вычислений необходима только остаточная дисперсия
, её сложно вычислить без остальных компонентов дисперсионной таблицы.
Вычисляется критериальная статистика
Построение критической области. При условии истинности нулевой гипотезы статистика Т имеет F-распределение со степенями свободы
и
Определяется критическое значение
как квантиль порядка
распределения со степенями свободы
Если выполняется неравенство
то нулевая гипотеза принимается. В противном случае – отклоняется. [5]
2.2.3 W критерий Уилкоксона
W критерий Уилкоксона - это непараметрический аналог парного критерия Стьюдента (t-критерий для зависимых выборок) для сравнения больных до и после лечения. Этот непараметрический критерий основан на рангах.
Принцип критерия следующий. Для каждого больного вычисляется величина изменения признака. Все изменения упорядочивают по абсолютной величине (без учета знака). Затем рангам приписывают знак изменения и суммируют эти "знаковые ранги" - в результате получается значение критерия Уилкоксона W.
Ранжирование. Попарные разности величин признака для каждого больного ранжируются следующим образом. Положительные и отрицательные значения ставят (кроме нулевых) в один ряд так, чтобы наименьшая абсолютная величина (без учета знака) получила первый ранг, одинаковым величинам присваивают один ранг.
Отдельно вычисляют сумму рангов положительных и отрицательных разностей, меньшую из двух сумм без учета знака считают тестовой статистикой данного критерия. Нулевую гипотезу принимают при данном уровне значимости, если вычисленное значение превзойдет критической значение.
-
Определить нулевую и альтернативную гипотезы.
: медиана разницы в популяции равна нулю.
: медиана разницы в популяции не равна нулю.
-
Отобрать необходимые данные из двух взаимосвязанных выборок.
-
Вычислить величину статистики критерия, отвечающую H0.
-
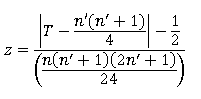
Вычислите разность для каждой пары результатов. Проранжируйте все n’ ненулевые разности, присваивая ранг 1 наименьшей разности и ранг n’ — наибольшей. Сложите ранги положительных (Т+) и отрицательных (T_) разностей.
Если n’
25, статистика критерия t принимает значение Т+ или Т_ в зависимости от того, какая из них меньше.
Если n’ > 25, рассчитайте статистику критерия z, где
которая подчиняется нормальному распределению (ее величина должна быть скорректирована, если имеется много связанных значений).
-
Сравнить величину статистики критерия с величинами известного распределения вероятности.
-
Интерпретировать значение достигнутого уровня значимости р и результаты.
-
Интерпретируйте значение p и рассчитайте доверительный интервал для медианы разностей.
2.3 Алгоритм исследования
В процессе выполнения разведочного анализа определены объекты исследования, методы выборки информации, методы формирования данных для исследования, математическое обоснование выбора статистических критериев, разработан алгоритм исследования в соответствии с рисунком 1.
Рисунок 1 – Алгоритм исследования
3 Реализация алгоритма исследования
Для проведения ценового мониторинга в 1 квартале 2017 г. нами были выбраны аптечные сети Хабаровска, Новосибирска и Москвы имеющие в составе больше трех аптек, или крупные одиночные аптеки с высоким оборотом. Среди аптечных сетей были выделены сети, позиционирующие себя как аптеки «низких цен», или аптеки дискаунтеры, работающие под следующими брендами на территории России[6]: «Фармокопейка»[7], «Аптека Миницен»[8], «Здравсити»[9], «Твоя аптека»[10], «Монастырев» и др.
Для простоты использования введём обозначения для всех аптек г.Новосибирска, г.Москвы и г.Хабаровска в таблицах 1,2 и 3 соответственно.
Таблица 1 – Обозначения аптек г.Новосибирск
| Обозначение | Название аптеки |
| НСК1 | Аптека от склада дискаунтер |
| НСК2 | Аптека от склада (сайт) |
| НСК3 | Солнышко №35 |
| НСК4 | Фармагрош (ул.Гоголя 180) |
| НСК5 | Фармакопейка (ул.Богдана Хмельницкого 5) Социальная |
| НСК6 | Монастырев (со скидкой) |
| НСК7 | Фармакопейка (сайт) |
| НСК8 | Зравсити портал, сайт |
| НСК9 | Фармакопейка (ул.Гоголя 17) Радуга |
| НСК10 | Фармакопейка (ул.Блюхера 7) Мелодия Здоровья |
Таблица 2 – Обозначения аптек г.Москва
| Обозначение | Название аптеки |
| МСК1 | Озерки (Новокосино) |
| МСК2 | Озерки (Алтуфьево) |
| МСК3 | Аптеки Столички (ул.Беляево -Миклухо-Маклая - 47а) |
| МСК4 | Самсон -фарма (ул.Балтийская, д. 4) |
| МСК5 | Здравсити (Москва) |
| МСК6 | Самсон-фарма (Миклухо -Маклая 43) |
Таблица 3 – Обозначения аптек г.Хабаровск
| Обозначение | Название аптеки |
| ХАБ1 | Миницен (Пушкина) |
| ХАБ2 | Монастырев |
| ХАБ3 | Миницен (Ленина) |
| ХАБ4 | Твоя аптека |
| ХАБ5 | Здравсити |
| ХАБ6 | Миницен (Ленинградская) |
При выборе товарных наименований для мониторинга предпочтение отдавалось уникальным лекарственным препаратам(ЛП), произведенных одним предприятием. Это позволило избежать типичной исследовательской ошибки, когда выводы об уровне цен в аптечных организациях базируются на сравнении препаратов, имеющих идентичные наименования, форму выпуска и дозировку, но отличающиеся по таким потребительским характеристикам, как упаковка, биодоступность и пр.[11]








