Кадура (1194486), страница 10
Текст из файла (страница 10)
А вот при
=1,
= 0 найденный оптимум отличен от предыдущих:
-
, 3,4, 2,1,
=994,
=994,
= 994.
Теперь представим оба решения посредством ребер графа на рис. 36, используя матрицу кратчайших путей.
Первое решение будет иметь вид:
-
, [13],3,[13,12], 9, [11], 1,[11],
-
, [17,15,16], 4, [16], 10, [16,15,17], 2, [17,
],
Другими словами локомотив, находящийся на пути П4 должен сначала сдвинуть «окна» на пути П3, затем устранить ситуацию «нет прохода» на пути П1 и П2, после чего отправиться в точку финиша на пути П2. А локомотив на пути П8 сначала посещает путь П5 чтобы сдвинуть «окна», потом заезжает на путь П6, берет там «чужаков», завозит их на путь П7 и отправляется обратно на путь П8.
Второе решение:
1)
[13], 3, [13, 12, 14, 15, 16], 4, [16], 10, [16, 15, 17], 2, [17, 15, 14, 12], 9, [11], 1,[11],
То есть локомотив на пути П4 первым делом посещает путь ПЗ, потом П5, сдвигая «окна», после чего переставляет «чужаков» с пути П6 на П7, устраняет ситуацию «нет прохода» на пути П1 и П2 и отправляется на путь П2. Второй локомотив остается на месте - он не привлекается к выполнению работ.
Первое решение лучше выбрать, когда требуется минимизировать время работ. Второе решение - когда нужно минимизировать количество маневровых локомотивов.
Формирование и модификация графа на рис. 38 вручную вызовет существенные затруднения. Потому и разработан описанный ниже редактор графов.
3.2 Разработка редактора графов
Графы служат математическими моделями сетей железнодорожного, автомобильного, а также других видов транспорта. Задачи нахождения маршрутов транспортных средств в рамках заданной сети дорог формализуются с использованием теории графов и алгоритмов. Реальные транспортные сети часто имеют большие размеры, алгоритмы решения возникающих задач сложны и трудоемки, поэтому анализ и синтез сетей на практике, как правило, не осуществляется без привлечения ЭВМ. Помимо самих алгоритмов, большое значение также имеет возможность быстрого и гибкого их использования. У людей- не математиков, занимающихся, к примеру, организацией маневровых передвижений на железнодорожной станции, работа с программной реализацией алгоритмов, берущих на входе данные, представленные посредством матрицы, вызовет существенные затруднения. Необходимо за короткое время безошибочно сформировать исходную матрицу, а затем учитывать динамику изменения ситуации на станции модифицируя исходные данные в реальном времени. Изменение ситуации может приводить к добавлению в граф новых вершин и ребер, либо удалению уже имеющихся, к изменению номеров вершин и весов ребер, к выделению среди множества вершин и ребер подмножеств, обладающих заданными свойствами. Соответственно будут изменяться элементы матрицы весов, будут появляться, исчезать либо меняться местами ее строки и столбцы. Если, например, в графе поменять местами номера вершин с номерами 1 и 2, то в матрице первая строка поменяется со второй строкой, первый столбец - со вторым столбцом. Чем больше размеры матрицы, тем труднее производить преобразования подобного рода вручную. Чтобы максимально упростить и тем самым ускорить формирование и модификацию исходных данных, предлагается программа на ЭВМ - редактор графов.
Рисунок 39 -Иллюстрации графов, созданные посредством редактора графов
Рисунок 40 -Иллюстрации графов, созданные посредством редактора графов
Редактор позволяет сравнительно быстро создать наглядную иллюстрацию графа любого вида, изменять структуру графа, производить названные выше преобразования.
Программная реализация имеет следующие основные возможности.
-
Создать. При нажатии соответствующей кнопки на панели инструментов (или в главном меню) программы в окне редактора создается белая прямоугольная область для рисования графа. Предварительно пользователь определяет тип графа - ориентированный либо неориентированный, взвешенный или нет, и цвет линий.
-
Сохранить. При нажатии будет предложено сохранить нарисованный граф в файле. Открывается диалоговое окно записи на жесткий диск компьютера файла с расширением «grf». Пользователь указывает имя файла и в какую папку его поместить.
-
Открыть. Если кликнуть на кнопку и в появившемся диалоговом окне выбрать имя ранее сохраненного файла в формате граф будет загружен из файла.
-
Кнопка «Сохранить рисунок» позволяет сохранить текущую иллюстрацию графа в графический файл формата jpeg или bmp.
-
Режимы добавления и удаления вершин активируются разовым нажатием кнопки «Добавить вершины» либо «Удалить вершины» соответственно. Добавляем требуемое количество новых вершин, щелкая мышью в тех точках области, где хотим их расположить, или удаляем ненужные вершины кликая на них. Чтобы деактивировать режим, отжимаем вдавленную кнопку повторным нажатием.
-
Аналогично действуют режимы добавления и удаления ребер. Для добавления нового ребра, инцидентного вершинам х и у, следует в режиме добавления ребер последовательно кликнуть на х и у. Для удаления имеющегося ребра следует в режиме удаления кликнуть в его окрестности.
-
Вес ребра или номер вершины текущего графа переопределяется двойным щелчком мыши по соответствующему объекту с последующим вводом нового числового значения в появившемся окне. Можно перетащить весь рисунок или некоторую вершину на другое место, щелкнув мышью на данном объекте и удерживая кнопку мыши. Предусмотрена возможность изменения цвета каждой вершины или ребра. Для этого надо выбрать требуемый цвет из списка на панели инструментов, а затем кликнуть на окрашиваемом объекте.
-
Реализована удобная перенумерация вершин. В режиме перенумерации вершины нумеруются в том порядке, в каком пользователь щелкает по ним мышкой. К примеру, щелкнул первый раз по пятой, она стала первой, второй раз щелкнул по третьей, она стала второй и т.д. Вершины всегда занумерованы числами натурального ряда от единицы до максимального номера, равного количеству вершин п. Если, к примеру, п = 5, то множество номеров: {1,2,3,4,5}. Все операции по добавлению, удалению, перенумерации вершин не приводят к нарушению этого условия. При удалении некоторой вершины, номера всех вершин с большими номерами становятся меньше на единицу. При изменении номера вершины* на номер вершины у номера * и у меняются местами.
-
В редактор графов заложен алгоритм Флойда, строящий по генерируемой редактором матрице весов нарисованного взвешенного графа его матрицы кратчайших расстояний и кратчайших путей. На панели инструментов редактора имеется специальная кнопка «Сохранить матрицы», записывающая матрицы весов, кратчайших расстояний и кратчайших путей в текстовые файлы «SourceGraphMatrix.txt», «FullGraphMatrix.txt» и «PathsMatrix.txt» соответственно, создаваемые на жестком диске. Таким образом производится переход от исходного графа
полному графу G. Матрица «FullGraphMatrix.txt» интерпретируется как матрица весов полного графа G, полученного из
добавлением к
недостающих ребер между каждой парой несмежных вершин х и у. Вес каждого ребра (х, у) полагается равным длине кратчайшего пути от х к у в
. Разработанные алгоритмы берут на входе матрицы «FullGraphMatrix.txt» и «PathsMatrix.txt». Находится решение задачи нескольких коммивояжеров на полном графе G - для этого необходима матрица весов G. Затем, когда решение получено, каждое звено входящих в него маршрутов представляется посредством ребер исходного графа с использованием матрицы «PathsMatrix.txt». В результате получаем оптимальный порядок обхода небазовых вершин исходного графа с указанием пути, по которому следует двигаться от одной вершины к другой (этот путь является кратчайшим).
Примеры иллюстраций графов, созданные в редакторе см. на рис. 39
3.3 Учет специфики железнодорожного транспорта
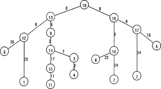
Ранее предполагалось, что каждый локомотив в любое время может доехать до любой, требующей обслуживания, точки чтобы выполнить необходимые маневровые операции. Нужно было указать локомотивам наилучшие в некотором смысле маршруты движения, проходящие через все выделенные участки станции. Никаких дополнительных ограничений на структуру искомых маршрутов не накладывалось. Ранее рассматривалась ситуация «нет прохода» на пути П1 и П2, хотя точек для выполнения маневров П1 и П2 не содержали. Предположим, что П1 и П2 содержат такие точки. Тогда локомотив не сможет в них побывать, не устранив предварительно имеющуюся ситуацию «нет прохода». Таким образом, одни обслуживания иногда должны быть выполнены строго раньше, чем некоторые другие. Благодаря данному обстоятельству появляется необходимость частичного упорядочения всех маневровых операций. Вводятся условия предшествования, вытекающие из технологии нормализации процесса роспуска, т.е. условия вида «работа х должна быть сделана прежде, чем начнется работа у». При этом будем говорить, что операция х предшествует операции x, либо что у следует за x и коротко записывать х
у. Заметим, что отношение порядка < транзитивно при :x<у и у <z выполнено также х<z. Будем говорить, что операция х непосредственно предшествует операции у (или у непосредственно следует за x), если х<у и не существует такой работы z, что x<z<y. Обозначение х<<у. Всю совокупность условий предшествования удобно изобразить в виде бесконтурного графа типа того, что представлен на рис. 40. Каждому отношению д: x<< у соответствует дуга, идущая от вершины х к вершине у. Граф может иметь несколько компонент связности. На рисунке две компоненты связности.
Рисунок 41- Граф приоритетов в обслуживании
Требуется найти такое решение задачи нескольких коммивояжеров, чтобы в первую очередь удовлетворялись условия предшествования, а уже во- вторых значение критерия качества было бы минимально возможным. Наличие условий предшествования приводит к необходимости рассмотрения среднего времени движения локомотива между точками путевого развития станции в качестве весов ребер графа исходной задачи.
Помимо условий предшествования вводятся дополнительные критерии эффективности решения рассматриваемой задачи. Дело в том, что маршруты, составляющие решение, могут иметь общие части. Поскольку тепловозы не могут одновременно находиться в одной точке, объективным условием является прохождение общих отрезков пути в различное время. В случае, когда, согласно полученному решению, общий отрезок проходится приблизительно в один и тот же момент времени, некоторые локомотивы будут вынуждены делать остановки, пропуская другие, что нежелательно. Снизится ожидаемый эффект от привлечения к работе нескольких локомотивов вместо одного. Возможно возникновение «пробок», недопустимое увеличение времени выполнения маневров. Работы станут менее безопасными, повысится вероятность ошибочных действий и сбоя. Новый критерий J3 минимизирует общее количество пересечений маршрутов независимо от времени, а критерий J4 не позволяет локомотивам одновременно находиться в одном и том же месте.
Чтобы подсчитать значения критериев J3 и J4 полученного на некотором шаге множества маршрутов, а также обеспечить выполнение условий предшествования, нам понадобятся множества чисел vn(i, х) и
, i = 1,m, х = 1,size. Здесь i представляет номер маршрута, m - текущее количество маршрутов, через х мы обозначили вершину начального графа G0, size - количество всех вершин Go (базовых, небазовых и остальных). Будем также пользоваться обозначением x(i,j): вершина x, находящаяся в маршруте i по порядковому номеру j.
. Каждая вершина x встречается в маршруте i, 0, 1 или несколько раз. Найдем число попаданий x в i. Результаты запишем в виде матрицы vn. Элементы vn(i, х) равны количеству вхождений вершины x в маршрут i.
Величины Тх представляют время прибытия i-го локомотива в вершину х. Начальные значения и
являются исходными данными, и должны быть заданы до начала работы алгоритма. Начальные величины
интерпретируются как время старта локомотивов, стартующих, вообще говоря, не одновременно. В связи с этим формула вычисления длины L маршрута i изменится, и примет вид
, 3,4, 2,1,
, [17,15,16], 4, [16], 10, [16,15,17], 2, [17,
полному графу G. Матрица «FullGraphMatrix.txt» интерпретируется как матрица весов полного графа G, полученного из 














