Шевляков (1190332), страница 9
Текст из файла (страница 9)
Нормы ПДВ по оксидам азота для новых котлоагрегатов,
эксплуатируемых в Японии
| Топливо | Расход дымовых газов, тыс. м3/ч | Величина ПДВ, г/м3 |
| Твердое | 40 – 700 | 0.51 |
| < 40 | 0.72 | |
| Жидкое | 10 – 500 | 0.33 |
| < 10 | 0.39 | |
| Газообразное | 40 – 500 | 0.23 |
| 10 – 40 | 0.30 | |
| < 10 | 0.35 |
В нашей стране отсутствует общероссийские нормы ПДВ по оксидам азота, но для каждой котельной в соответствии с ГОСТ 17.2.3.0278 устанавливаются свои нормативы ПДВ как по NO2 так и по другим веществам. Это связано с тем, что мероприятия по сокращению выбросов токсичных оксидов азота требуют модернизации действующих горелок или топочных устройств, что повышает КПД котлов и их экологическую безопасность работы[18].
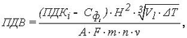
Расчёт ПДВ продуктов сгорания отопительных котлов и котельных в целом производится по формуле:
(9.1)
где А – коэффициент, зависящий от температурной стратификации атмосферы.
Значения коэффициента А, соответствующие неблагоприятным метеорологическим условиям, при которых концентрация вредных веществ в атмосферном воздухе максимальна, принимаются равными по рекомендациям:
а) 250 – для районов южнее 400 с. ш., Бурятии и Читинской области;
б) 200 – для Европейской территории РФ: для районов южнее 500 с. ш., для остальных районов Нижнего Поволжья, Кавказа, Молдавии; для Азиатской территории России: для Казахстана, Дальнего Востока и остальной территории Сибири и Средней Азии[18];
в) 180 – для Европейской территории РФ и Урала от 50 до 520 с. ш.;
г) 160 – для Европейской территории РФ и Урала севернее 520 с. ш.;
д)140 – для Московской, Тульской, Рязанской, Владимирской, Калужской, Ивановской областей.
F – безразмерный коэффициент, учитывающий скорость оседания вредных веществ в атмосферном воздухе;
Значения безразмерного коэффициента F принимаются:
а) для газообразных вредных веществ (скорость упорядоченного оседания которых практически равна нулю) – 1;
б) для мелкодисперсных аэрозолей, при среднем эксплуатационном коэффициенте очистки выбросов не менее 90 % – 2; от 75 до 90% – 2.5; менее 75 % и при отсутствии очистки – 3.
m и n – коэффициенты, учитывающие условия выхода газовоздушной смеси из устья источника выброса. Значения коэффициентов m и n определяются в зависимости от параметров f и
:
; (9.3)
Коэффициент m определяется в зависимости от f по формулам:
Коэффициент n определяется в зависимости от по формулам: при,
;
– безразмерный коэффициент, учитывающий влияние рельефа местности; Н – высота источника выброса (дымовой трубы) над уровнем земли, м; V1 – расход газовоздушной смеси, определяемый по формуле[22]:
где D – диаметр устья источника выброса, м; ω0 – средняя скорость выхода газовоздушной смеси из устья источника выброса, м/с;
– разность между температурой выбрасываемой газовоздушной смеси Тг и температурой окружающего атмосферного воздуха Тв.
При определении значения
следует принимать температуру окружающего атмосферного воздуха Тв, равной средней максимальной температуре наружного воздуха наиболее жаркого месяца года, а температуру выбрасываемой в атмосферу газовоздушной смеси Тг– по действующим для данного производства технологическим нормативам[18].
– величина фоновой концентрации вредного вещества, принимаемая в долях ПДК (от 0,1 до 0,4 ПДК). Производится расчет ПДВ для всех загрязняющих веществ, выбрасываемых в атмосферу при сжигании топлива в котле, т.е. твердых частиц, диоксида серы, оксида углерода и оксидов азота.
υm
υm≥2 , n=1
f =
m =
ПДВmв =
г/с
ПДВSO2 =
г/с
ПДВCO =
г/с
ПДВNO2 =
г/с
Результаты расчёта уровня загрязнения приземного слоя атмосферы выбросами вредных веществ котлоагрегата представлены в таблице 9.3.
Таблица 9.3
Результаты расчётов ПДВ и фактических выбросов
| Загрязняющее Вещество | Выбросы вредного вещества, г/с | Превышение фактического выброса над ПДВ, г/с | ||||
| Фактический | ПДВ | |||||
| Твёрдые частицы | 0,0123 | 0,213 | не превышает | |||
| Оксид углерода | 1,547 | 7,097 | не превышает | |||
| Диоксид серы | 3,375 | 1,065 | 2,31 | |||
| Оксиды азота | 0,387 | 0,181 | 0,206 | |||
10 Разработка воздухоохранных мероприятий по снижению валовых вредных выбросов из паровых котлов, включая очистку дымовых газов
Величина выброса загрязняющих атмосферу веществ в основном определяется наличием на промышленных предприятиях пылегазоочистного оборудования. Системами газоочистки и пылеулавливания ежегодно обезвреживается лишь 30 % вредных примесей, основную часть которых составляют твёрдые вещества (сажа, зола, пыль). К сожалению, этого недостаточно для обеспечения необходимых санитарных норм по качеству атмосферного воздуха. Наиболее эффективна и целесообразна очистка дымовых газов в отопительных котельных для улавливания твердых частиц (золы, сажи). В стадии опытнопромышленного внедрения находятся способы очистки продуктов сгорания от оксидов азота и серы, и других вредных примесей. Необходимо отметить, что очистку выбросов от оксидов азота рекомендуется применять в крайних случаях на завершающем этапе, после использования всех имеющихся теплотехнических способов подавления образования NOх. Потому как затраты на очистку дымовых газов, как минимум на 12 порядка выше стоимости любого теплотехнического метода сокращения выбросов оксидов азота [19].
Очистка продуктов сгорания от золы производится в том случае, когда
где Ар – зольность топлива, %; В – максимальный часовой расход топлива, кг. В качестве золоуловителей следует использовать:
– блоки циклонов ЦКТИ или НИИОГаз – при объеме уходящих газов от 6000 до 20 000 м3/ч с коэффициентом очистки не менее 85…90 %;
– батарейные циклоны – при объеме уходящих газов от 15 000 до 150 000 м3/ч (в отопительных котельных с количеством котлов более 5). Коэффициент очистки должен быть не ниже 85…92 %.
В то же время все отопительные котельные, работающие на твердом топливе, должны быть оборудованы системой пыле и газоочистки.
На крупных ТЭЦ применяются современные системы очистки с использованием тканевых фильтров из температуростойких материалов и скрубберов (мокрых пылеуловителей), способных улавливать частицы размером от 0,5 мкм с КПД равным 70…90 %, а также высокотемпературных электрофильтров с КПД составляющим 97,5…99,9 %. Практическое использование высокотемпературных электрофильтров в котельных предприятий экономически невыгодно и трудно осуществимо, а два других способа очистки вредных выбросов вполне доступны.
Необходимо добавить, что к настоящему времени известно более 100 методов только мокрой сероочистки с получением элементарной серы, сульфатных и сульфидных солей. Степень очистки может достигать 86…95 %. Но использование даже самого дешевого известкового способа очистки выбросов увеличивает затраты в малых котельных на 15…20 % [19].
Сокращения количества содержания серы в топочных газах может достигаться различными способами:
- использованием малосернистых углей,
- предварительным удалением серы из угля,
- уменьшением количества серы, выделяющейся в газовую фазу при горении (связывание серы, например, в сульфат кальция),
- удалением серы из топочных газов,
- предварительной переработкой нефти, угля, сланца в жидкое или газообразное горючее (с удалением серы).
Так как в мировой практике очень широко применяются способы очистки с предварительным удалением серы из топлива и из топочных газов, то этим методам и уделяется наибольшее внимание.















