Автореферат (1094959), страница 6
Текст из файла (страница 6)
Проверочный лист
(на примере промежуточной оценки уровня шума электрической машины)
| Экологический показатель | Конструктивные и функциональные показатели, влияющие на увеличение уровня негативного воздействия |
| 1. Уровень шума | 1.1. Уменьшение воздушного зазора 1.2. Увеличение площади излучающей поверхности. 1.3. Увеличение окружной скорости. 1.4. Увеличение потребляемой мощности 1.5. Увеличение магнитного потока 1.6. Увеличение силы тока 1.7. Снижение магнитной проводимости воздушного зазора и др. |
Таблица 5
Экологические показатели при производстве различных конструкционных материалов
| Материалы | Приведенная масса выбросов, кг/кг материала (Графкина М.В.) | Экоиндикатор, балл/кг материала (Козлов А.В.) | «Экоиндикатор- 95», балл /кг материала (данные университета г. Delft) |
| Алюминий | 2975,84 | 0,564 | 18,1 |
| Медь | 22720,6 | 3,148 | 133 |
| Пластмасса | 1375,12 | 0,2983 | 5,29 |
| Свинец | 4126,88 | 0,769 | 6,94 |
| Сталь | 998,367 | 0,222 | 4,88 |
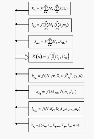
Новизна этого подхода заключается в том, что экологические показатели рассчитываются с учетом технических показателей проектируемых ТС, используемых при их параметрической оптимизации. Модель представлена на рис. 8.
Рис. 8. Модель взаимосвязи технических и экологических показателей ТС
В модели (рис. 8) применяются следующие обозначения:
– комплексный показатель, учитывающий негативное воздействие на атмосферу; Мk – масса конструкционного k-го материала; кг; k – число материалов;
– коэффициент приведения, характеризующий воздействие на атмосферу i-го загрязняющего вещества;
–– масса i-го загрязняющего вещества, кг;
– комплексный показатель, учитывающий негативное воздействие на гидросферу;
– коэффициент приведения, характеризующий воздействие на гидросферу от j-го загрязняющего вещества;
– масса j-го загрязняющего вещества, кг;
– комплексный показатель, учитывающий негативное воздействие образующихся отходов;
– коэффициент использования k-го материала при производстве конструкционных материалов, деталей, узлов ТС в целом;
– интегральный показатель негативного воздействия ТС с учетом ЖЦ;
– расстояние от вариантов
до идеального варианта
;
– показатель, учитывающий негативное воздействие шума на ОС; N – мощность, кВт;
– характеристика акустического импеданса, кг/с м2;
– площадь звукоизлучающей поверхности, м2;
– коэффициент излучения (
=15);
– среднеквадратичная нормальная скорость звукопоглощающей поверхности, м/с;
– константа, зависящая от шероховатости поверхности и свойств газа, выражается в единицах удельной звуковой мощности (
Вт/м2);
– окружная скорость, м/с;
– показатель, учитывающий негативное воздействие вибрации на ОС;
– масса ТС, кг;
– длина пакета якоря, м;
– частота вращения якоря, об/мин;
– показатель, учитывающий негативное воздействие электромагнитных излучений на ОС;
– магнитная индукция в воздушном зазоре, Тл;
– наружный диаметр якоря, м;
– постоянная электрической машины, не зависящая от режима ее работы;
– коэффициент полюсного перекрытия;
– показатель, учитывающий вероятность возгорания в электрической сети; Iдоп – предельно допустимый ток по условиям пожарной безопасности и оптимальной долговечности электрической сети, А; Sпр – площадь сечения токопроводящей жилы провода, м2; dн – наружный диаметр провода, м; Тпр.max – максимально допустимая температура изоляции провода по условию ее теплостойкости, К; Тпр – установившаяся температура провода, К; Тср – температура окружающей среды, К; ρ – удельное сопротивление жилы провода, Ом∙м; α – теплопроводность, Вт/м∙град; Gi – масса i-го элемента электрической сети, кг.
Характерной особенностью процесса разработки новых систем является необходимость выбора альтернативных вариантов. Улучшение в решении задач проектирования одних параметров может привести к ухудшению других. В настоящее время совершенствование функциональных показателей СиТС, осуществляемое путем структурной или параметрической оптимизации, должно проводиться с учетом всесторонней комплексной экологической оценки получаемых вариантов на различных этапах разработки. Оценка должна проводиться с определением и сопоставлением экологических показателей вариантов по качественному или детерминированному выражению некоторых частных, а на завершающем этапе – комплексных критериев, учитывающих степень выполнения предъявляемых к создаваемой системе экологических требований.
Таким комплексным критерием, как было сказано выше, выбран минимум негативного воздействия на ОС с учетом жизненного цикла создаваемой системы, определяющий геоэкологическую безопасность выбранного варианта в сравнении с другими рассматриваемыми конкурентоспособными вариантами.
Качественные методы оценки геоэкологической безопасности используются на начальных этапах разработки, если реальная система не может быть описана количественными характеристиками или отсутствуют закономерности в виде аналитических зависимостей, а также при недостатке исходных данных для проведения расчетов. Качественные методы оценки актуально использовать при выборе концептуальной модели создаваемой системы. Количественные методы оценки применяются на последующих этапах для анализа конкурентных вариантов создаваемых систем. Детерминированные методы также могут быть использованы и на начальных этапах при наличии аналитических зависимостей, устанавливающих импликативную взаимосвязь экологических и технических показателей создаваемых систем, а также при необходимом объеме исходной информации для проведения вычислений.
Для комплексной оценки геоэкологической безопасности создаваемых ПТС автором используются методы, основанные на модели расстояния до эталонного варианта, в которых предполагается существование небольшого числа латентных характеристик, определяющих состояние объекта, а, следовательно, и значение комплексного экологического критерия. Кроме предположения о существовании латентных характеристик и эталонного варианта, фундаментальным для этих методов является предположение о наличии определенной зависимости между «близостью» объектов в области исходных частных экологических показателей и расстоянием между этими объектами в области латентных характеристик.
В соответствии с этими методами для комплексной оценки геоэкологической безопасности конкурентных вариантов необходимо в пространстве частных экологических показателей (ЧЭП) задаться эталоном, которому соответствует точка с координатами
, и выбрать соответствующую метрику
, описывающую расстояние объекта до эталона.
В качестве эталона целесообразно выбирать идеальный вариант проектируемой СиТС относительно функции цели, т.е. вариант, у которого все ЧЭП одновременно принимают наилучшие значения. В случае если идеальный вариант проектируемой системы принят как цель, к которой «стремятся» сравниваемые варианты, расстояние
от рассматриваемых альтернативных вариантов
до идеального варианта
будет характеризовать геоэкологическую безопасность различных конкурентоспособных вариантов проектируемой системы
где
– функция, соответствующая используемой метрике;
– показатель, который характеризует геоэкологическую безопасность j-го конкурентного варианта проектируемой системы.
Например, для измерения расстояния
между оцениваемыми вариантами
и идеальным вариантом
в случае, если ЧЭП нельзя считать равноценными, можно использовать метрику Минковского
где
– весовые коэффициенты, учитывающие неравноценность частных экологических показателей;
– значение i-го нормированного значения частного экологического показателя для j-го варианта;
– значение i-ой координаты вектора идеального варианта.
Значения
, являющиеся комплексными экологическими показателями конкурентных систем и представляющие собой меру близости оцениваемых вариантов к идеальному, интерпретируются как комплексный геоэкологический критерий рассматриваемых вариантов. Неоднородность ЧЭП предопределяет необходимость проведения специальных преобразований – унификации и нормирования.
Апробация теории и методов оценки геоэкологической безопасности создаваемых ПТС осуществлена на примерах выбора оптимальных вариантов размещения Архангельской АТЭЦ и Петровской ГРЭС в Шатурском районе Московской области и оптимального варианта проектируемой электрической машины. Результаты оценки геоэкологической безопасности конкурентных пунктов размещения Архангельской АТЭЦ – «Правобережный», «Рикасиха», «Цигломень» (рис. 9), представленные в табл. 6, показали преимущество в штатном режиме работы варианта ее размещения в пункте «Рикасиха».
















