Proect_1 (1088881), страница 2
Текст из файла (страница 2)
VIII.Расчет коэффициента усиления приемника и распределение усиления по каскадам.
Обобщенная структурная схема приемника приведена на рис.3
Рис.3
Необходимо провести следующие вычисления.
1.Рассчитать число каскадов тракта сигнальной частоты.
Для этого вычисляется требуемое усиление:
где
- чувствительность проектируемого приемника,
- напряжение на входе первого преобразователя частоты, равное 200…500мкВ для полевых транзисторов (ПТ) и 30…40мкВ для биполярных транзисторов (БТ).
Далее определяется необходимое число каскадов N в тракте сигнальной частоты, обеспечивающее требуемое усиление:
где
- уточненный коэффициент передачи входной цепи (
- коэффициент, определяемый по таблице 4),
- коэффициент усиления усилителя сигнальной частоты равняется коэффициенту устойчивого усиления транзистора. Формулы для расчета
приведены в таблице 5.
Таблица 4
| Вид входной цепи | Тип транзистора в УСЧ | |
| ОКК ОКК | Полевой транзистор Биполярный транзистор | 10 100 |
| ДПФ ДПФ | Полевой транзистор Биполярный транзистор |
В таблице 4
- параметр связи между контурами ДПФ.
Таблица 5
| Вид усилительного каскада | Тип транзистора | Схема включения транзистора | |
|
| Биполярный | С общим эмиттером С общей базой | |
|
| Полевой | С общим истоком С общим затвором | |
| Каскодная схема | Биполярные | -- | |
| Каскодная схема | Полевые | -- |
2. Определить число каскадов тракта первой промежуточной частоты.
Число каскадов тракта первой промежуточной частоты N определяется по аналогии с первым пунктом данного раздела: сначала определяется необходимое усиление в этом тракте, а уже затем необходимое число каскадов. Обобщенная формула вычислений:
где
напряжение на входе второго преобразователя частоты, равное 2…5мВ для полевых транзисторов (ПТ) и 300…400мкВ для биполярных транзисторов (БТ).
Необходимо отметить, что чем ниже частота , тем выше коэффициент устойчивого усиления транзисторов.
3. Определить число каскадов тракта второй промежуточной частоты.
Вычисления проводятся по формуле:
где
- напряжение на входе детектора, равное (0.5…1)В для АД,ЧД (с настроенными или расстроенными контурами ), ФД и (30…50)мВ для дробного ЧД;
4.Определить усиление в тракте низкой частоты.
Коэффициент усиления в тракте низкой частоты равняется:
где
=2…5 – коэффициент запаса,
В тракте низкой частоты для обеспечения необходимого усиления целесообразно использование микросхем, некоторые из которых приведены в Приложении 4.
IX. Определение числа каскадов приемника,охватываемых АРУ.
В ТЗ приведен коэффициент регулирования АРУ, показывающий динамический диапазон изменения входного и выходного сигнала. Для проведения дальнейших расчетов эти динамические диапазоны надо перевести дБ по напряжению и вычислить динамический диапазон АРУ:
Число охватываемых каскадов N равняется:
где
- динамический диапазон регулировки одноко каскада.
X.Составление структурной схемы проектируемого приемника.
О
МС…
бобщенная структурная схема приемника приведена на рис.4
Рис.4
Особенности построения структурной схемы приемника следующие:
-
в диапазонном приемнике необходимо показать сопряженную перестройку каскадов ВЦ, УСЧ и Г приемника;
-
около каждого вида устройства показать их количество N=? и тип фильтров (ОКК; ДПФ, ФСС) или тип микросхемы;
-
ввести АРУ и показать какое количество усилительных каскадов охватывает система АРУ;
-
показать ЧАП или ФАП промежуточной частоты, уменьшающий запас по полосе приемника, если расчеты показали,что он необходим;
-
вместо Д, показанного на рис.4, необходимо ввести конкретный вид этого детектора:
-
для АТ сигналов – АД,
-
для ЧТ сигналов – ЧД ( перед «обычным» ЧД необходим ограничитель),
-
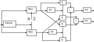
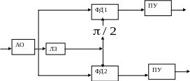
для ОФТ сигналов обработка может быть когерентная или некогерентная (выбирается в процессе эскизного расчета в VI разделе). Схема когерентного детектора ОФТ сигнала приведена на рис.5, схема некогерентного – на рис.6.
Рис.5 рис.6
На рис.5 и рис.6:
АО – амплитудный ограничитель,
ФД – фазовый детектор,
УФОК – устройство формирования опорного колебания,
ЛЗ – линия задержки на Т=1/V.
-
для сигнлоа ДОФТ вид принимаемого кода приведен в таблице 6, а схемы когерентного и некогерентного детекторов этих сигналов на рис.7 и рис.8 соответственно.
-
Таблица 6
АО
Рис.7
Рис.8
Приложение 1
Параметры биполярных транзисторов
| Тип транзистора | (МГц) | (Ом) | (пФ) | (пС) | Шт (дБ) | (Ом) (Ом) | |
| КТ 342 В | 300 | 200 | 400 | 4 | 700 | 7 | 5 50 |
| КТ 306 А | 500 | 30 | 30 | 5 | 500 | 15 | 30 100 |
| КТ 306 Б | 650 | 30 | 60 | 5 | 500 | 15 | 30 100 |
| КТ 3126 А | 500 | 7 | 100 | 2,5 | 15 | 8 | 5 6 |
| КТ 3127 А | 600 | 6 | 150 | 1 | 10 | 5 | 5 10 |
| КТ 316 А | 600 | 17 | 60 | 3 | 50 | 10 | 15 16,7 |
| КТ 316 Б,В | 800 | 17 | 120 | 3 | 50 | 10 | 15 16,7 |
| КТ 316 Г | 600 | 17 | 100 | 3 | 150 | 10 | 15 50 |
| КТ 316 Д | 800 | 17 | 300 | 3 | 150 | 10 | 15 50 |
| КТ 3128 А | 800 | 7 | 150 | 1 | 5 | 5 | 6 5 |
| КТ 397 А | 800 | 25 | 300 | 1,3 | 40 | 6 | 20 30,8 |
| КТ 3109 А | 800 | 8 | 15 | 1 | 10 | 6 | 7 10 |
| ГТ 311 А | 770 | 8 | 70 | 1,8 | 50 | 8 | 8 27,8 |
| ГТ 311 Б | 1500 | 8 | 80 | 1,5 | 100 | 5,1 | 8 66,7 |
| ГТ 311 Г | 1500 | 8 | 60 | 1,5 | 75 | 5,1 | 8 50 |
| ГТ 311 Д | 1500 | 7 | 110 | 1,5 | 75 | 5,1 | 8 50 |
| ГТ 329 А | 1200 | 22 | 100 | 2 | 15 | 4 | 10 7,5 |
| Т 341 А | 1950 | 60 | 60 | 1 | 10 | 4,5 | 30 10 |
| КТ 382 А | 2250 | 3 | 330 | 2 | 6 | 3 | 3 3 |
| КТ 382 Б | 2250 | 3 | 330 | 0,7 | 5,5 | 4,5 | 3 2,8 |
| КТ 372 А | 2400 | 20 | 10 | 1 | 9 | 3,5 | 8 9 |
| КТ 372 Б | 3000 | 20 | 10 | 1 | 9 | 3,5 | 8 9 |
| КТ 371 А | 3600 | 10 | 200 | 1,2 | 10 | 5 | 8 8,3 |
| Т 362 | 4800 | 5 | 200 | 1 | 10 | 4 | 8 10 |
| ГТ 362 Б | 4800 | 5 | 200 | 0,5 | 30 | 4 | 8 6 |
| КТ 391 А | 7000 | 8 | 150 | 0,7 | 3,7 | 4,5 | 7 5,3 |
| КТ 391 Б | 7000 | 8 | 150 | 1 | 3,7 | 4,5 | 7 5,3 |
| КТ 368 А | 7000 | 6 | 300 | 1,7 | 15 | 3,3 | 5 2,8 |
| КТ 368 Б | 7000 | 6 | 300 | 1,7 | 15 | 2,8 | 5 2,8 |
| КТ 3115 А-2 | 7500 | 9 | 20 | 0,6 | 9 | 5 | 7 15 |
| КТ 3124 А-2 | 8000 | 6 | 200 | 0,6 | 2,5 | 5 | 5 4,2 |
| КТ 610 А | 10000 | 12 | 300 | 4,1 | 55 | 6 | 10 13,4 |
| КТ 610 Б | 7000 | 12 | 300 | 4,1 | 22 | 6 |
|
Приложение 2.
На одном транзисторе
На одном транзисторе















