МС_работа2 (1086513)
Текст из файла
Министерство образования РФ
Московский Институт Радиотехники Электроники и Автоматики (Технический Университет)
Дисциплина
“Моделирование систем”
Самостоятельная работа №2
Преподаватель: Нечаев В.В.
Москва 2005
Задание №1. Описание сущности каждого из принципов моделирования.
| Название принципа моделирования | Описание |
| Принцип системности | Рассмотрение или исследование объекта оригинала и создание модели этого объекта должно осуществляться исходя из представлений о способности составляющих такой объект компонент (подсистем и элементов), а как следствие и моделей этих компонент, вступать в такого рода отношения (взаимосвязи и взаимодействия), в результате которых порождаются целостные свойства системы (модели) в том числе и интегративные, т.е. такие, которые не присущи не одному из отдельно взятых компонентов или их локальных совокупностей. |
| Принцип целенаправленности | Функционирование любой активно действующей системы организуется таким образом, чтобы оно приводило с заданной (требуемой) степенью близости (точности, адекватности) к желаемому результату, определяемому, как некоторое конечное состояние системы (объекта, процесса, явления). |
| Принцип комплексности | Принцип комплексности предполагает всестороннее, многоаспектное, многофакторное рассмотрение системы (объекта оригинала), как неоднородной, взаимосвязанной и взаимодействующей совокупности компонент избирательно вовлеченных в единое целое в соответствии с определенными исходными концепциями, причем согласованное функциониро-вание исходных компонент направлено на достижение единой глобальной цели. |
| Принцип целостности | Способность компонент – частей системы, состоять в такого рода взаимосвязях и взаимодействиях друг с другом, в результате которых образуются новые, интегративные свойства, качества, аспекты, которые присущи внутренней природе целого (системе) и свойств целевой функции. |
| Принцип ведущей компоненты | Модель должна учитывать условия функциониро-вания объекта оригинала, удовлетворяющие принципу ведущей компоненты в зависимости от режима функционирования, а так же от моментов фиксации этих режимов те или иные компоненты системы оригинала принимают на себя доминирующую роль функции ведущей (главной) компоненты, подчиняю-щей своему влиянию (воздействию) все остальные компоненты – части исходной, целостной системы, удовлетворяющей принципу когерентности. |
| Принцип модульности | Целенаправленные целостные системы должны состоять из таких компонент или модулей эндогенные (внутренние) свойства которых существенно превосходят экзогенные (внешние), при этом имеет место внутренняя прочность и относительная независимость компонент модулей друг от друга и от окружающей среды, а так же ориентация каждого модуля на реализацию одной и только одной функции. |
| Принцип когерентности | В целостной системе каждый компонент взаимосвязан и взаимодействует с любым другим компонентом этой системы, т.о. что необходимое и достаточное изменение в одном из компонентов вызывает соответствующие пропорциональные изменения во всех остальных компонентах, а так же в системе в целом. |
| Принцип экстроспективности | При рассмотрении проблем или задач моделирования, определяемых внешними по отношению к исходной целостной системе факторами действия эксперта, должны быть направлены во вне этой системы к ее окружению – другим одно-ранговым системам, так и вверх по альтитуде на заданную (требуемую, необходимую) высоту от исходной системы, к ее надсистемам с различными уровнями организации. |
| Принцип интроспективности | При рассмотрении проблем или задач моделирования, решение которых определяется внутренними, по отношению к исходной целостной системе и окружающей ее среде, факторами действия эксперта по моделированию, должны быть направлены вниз по альтитуде – во внутрь системы на заданную или требуемую глубину от исходного (целостного) объекта оригинала к его компонентам – подсистемам и элементам различных рангов и уровней организации. |
| Принцип соответствия | Модель и объект оригинал должны быть согласованы друг с другом по критериям сложности и разнообразия состояний, т.о. чтобы отображаемые в модели компоненты и аспекты удовлетворяли целям и задачам моделирования. |
| Принцип аутокаталичности | В системах, состоящих из большого числа однородных (гомогенных), упорядоченно связанных и взаимодействующих компонент, наличие какого либо свойства в одной ее части увеличивает вероятность последующего появления этого свойства в других частях исходной системы, а при его отсутствии система становится существенно не устойчивой. |
| Принцип минимальной конструкции | Конструкция модели должна состоять из минимально возможного количества компонент, совокупность которых вещественно, энергетически и информа-ционно оптимальным образом удовлетворяет прин-ципу целенаправленности, т.е. целевому назначению модели. |
| Принцип максимального упрощения | При создании модели в ней должны учитываться и отображаться наиболее существенные и принципи-ально значимые по отношению к целям и задачам моделирования свойства объекта оригинала и игнорироваться все незначительные, второстепенные и малосущественные. |
| Принцип адекватности | Модель должна находиться в отношениях адекват-ности с объектом оригиналом, устанавливающей не только степень качественной близости к оригиналу, но и факторы структурной и функциональной степени близости в соответствии с целями и задачами моделирования. |
| Принцип информативности | Модель должна обладать свойством аккумулирования наиболее существенной информации и порождения такой новой информации, которая была бы релевантна и адекватна целевому назначению модели. |
| Принцип информационной прозрачности | Модель должна быть доступна для контроля, изменения и регистрации информации в любых существенных с точки зрения преследуемых целей и решаемых задач узлов, зон и областей модели определяемых как окна информационной прозрачности. |
| Принцип концептуализации | Реально существующие или мысленно представ-ляемые объекты моделирования должны быть представлены через посредство понятий – концептов в форме концептуальных объектов (систем), высту-пающих в качестве идеального адекватного (релевантного) отражения оригинала в модели в форме соответствующих информационных портретов. |
| Принцип развития | Модель сложной системы (сложного объекта оригинала) должна удовлетворять требованию развития (эволюционируемости) с точки зрения изменяющихся требований ее адекватности по отношению, как к точности при неизменных целях, так и к задачам и целям при их вариабельности. |
| Принцип редукции сложности | При моделировании сложного объекта он должен быть в зависимости от целей и задач моделирования максимально упрощен на основе методов стратификации и декомпозиции посредством аппроксимации и обобщения. Для реализации принципа редукции сложности необходимо учитывать принципы интроспективности, экстроспективности, целенаправленности, адекватности. |
| Принцип технологичности | Согласованная совокупность принципов, методов, процедур и операций, реализующих базовую целевую функцию, направленную на изменение состояния входного информационного ресурса в выходной результат, является следствием принципа технологичности. И в соответствии с существом моделируемого объекта при ее реализации должна полностью включать в себя все требования, определяемые данным принципом с точки зрения отображения входного информационного потока в выходной результат. |
| Принцип управляемости | При релевантности осведомительной и адекватности управляющей информации изменение состояния компонент – подсистем и элементов, а так же модели в целом должны осуществляться таким образом, чтобы в условиях изменяющейся внешней среды движение управляемого объекта (модели) было ориентировано в направлении достижения оптимального значения целевой функции. |
| Принцип интерпретируемости модели | Информационный многоуровневый процесс преобразования абстрактной (идеальной) модели в конкретную материальную или идеальную модель на основе отображения не пустого информационного множества (знаний и данных) определенного концептуальной моделью и называется областью интерпретации в информационную область данные и знания, значения интерпретации, определяемой областью и конкретным объектом. |
| Принцип инвариантности | Создаваемая модель должна быть независима от конкретного ее приложения, и ориентирована на спектр объектов оригиналов, а так же многократное использование при решении конкретных задач. |
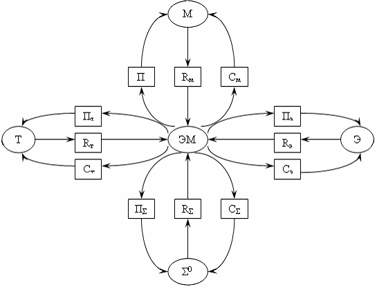
Задание 2. Диаграмма модельной деятельности эксперта.
На диаграмме отображена следующая деятельность ЭМ:
-
Познавательная деятельность (П);
-
Созидательная деятельность (С);
-
Теория (Т);
-
Эксперимент (Э);
Схема отображает основные шаги и методы моделирования объекта-оригинала экспертом по моделированию. Диаграмма может отображать как процесс длиной в один цикл, так и итерационный процесс моделирования.
Диаграмма определяет полный комплекс задач, реализуемых эксперта по моделированию, в процессе модельной деятельности. К числу таких задач относятся однофазные и двухфазные задачи.
Задание 3. Таблицы применимости принципов моделирования к каждому из методов деятельности эксперта.
Таблица 1. Объектная деятельность (познавательная, созидательная).
| Принцип моделирования | Познание | Созидание | Замечание |
| Целенаправленности | - | + | В ходе эксперимента должен получиться результат, близкий к требуемому. |
| Целостности | - | + | Объект-оригинал создаётся с целью выполнения функций, которые его составляющие не способны выполнить по отдельности |
| Системности | + | + | |
| Комплексности | + | + | |
| Модульности | - | + | При создании объекта подбираются элементы, которые обеспечивают условия принципа |
| Когерентности | + | + | |
| Ведущей компоненты | + | - | Учитывается только при создании модели |
| Интроспективности | + | - | |
| Экстраспективности | + | - | |
| Соответствия | + | + | |
| Минимальной конструкции | + | - | Используется для определения минимального набора компонент, обеспечивающих должное функционирование объекта-оригинала. |
| Аутокаталичности | + | + | П – изучение свойств; С – построение объекта должным образом |
| Максимального упрощения | - | + | |
| Адекватности | - | + | |
| Информационной прозрачности | - | - | учитывается только при создании модели |
| Информативности | - | - | учитывается только при создании модели |
| Развития | - | - | учитывается только для модели |
| Концептуализации | + | - | |
| Редукции сложности | + | - | для упрощения процесса созидания |
| Технологичности | - | + | |
| Управляемости | - | - | используется при «редактировании» - изменении объекта |
| Инвариантности | + | - | определение спектра объектов, для которых подходит определённая модель |
| Интерпретируемости модели | - | - | Модель должна быть интерпретируема. |
Таблица 2. Теоретическая деятельность эксперта.
| Принцип моделирования | Применимость | Замечание |
| Целенаправленности | + | |
| Целостности | - | интегративные свойства констатируются в ходе эксперимента |
| Системности | + | в ходе рассмотрения объекта-оригинала и его модели |
| Комплексности | + | т.к. идёт рассмотрение объекта-оригинала |
| Модульности | + | при вербальном теоретическом моделировании |
| Когерентности | + | при теоретическом моделировании |
| Ведущей компоненты | + | |
| Интроспективности | + | |
| Экстраспективности | + | |
| Соответствия | + | |
| Минимальной конструкции | + | |
| Аутокаталичности | - | проявляется и подтверждается в ходе эксперимента |
| Максимального упрощения | + | |
| Адекватности | + | |
| Информационной прозрачности | + | |
| Информативности | + | |
| Развития | + | |
| Концептуализации | + | |
| Редукции сложности | + | |
| Технологичности | + | |
| Управляемости | + | |
| Инвариантности | - | проведением экспериментов над другими объектами проявляется |
| Интерпретируемости модели | - | построение конкретной физической модели |
Таблица 3. Экспериментальная деятельность эксперта (натуральный и экспертный эскп.)
| Принцип моделирования | Натуральный | Экспертный | Замечание |
| Целенаправленности | - | + | |
| Целостности | + | + | |
| Системности | + | + | |
| Комплексности | - | + | в ходе натурального эксперимента объект неизменим |
| Модульности | - | + | |
| Когерентности | - | + | в ходе натурального эксперимента объект неизменим |
| Ведущей компоненты | + | + | |
| Интроспективности | - | - | учитываются только при теоретическом рассмотрении объекта и модели |
| Экстраспективности | - | - | |
| Соответствия | - | + | применимо к моделям |
| Минимальной конструкции | - | + | проверка соответствия модели по данному критерию |
| Аутокаталичности | + | + | проверка |
| Максимального упрощения | + | - | выявление наиболее важных компонент |
| Адекватности | + | + | |
| Информационной прозрачности | - | + | суть эксперимента в том и состоит |
| Информативности | + | + | |
| Развития | + | + | |
| Концептуализации | - | - | |
| Редукции сложности | + | - | исследование степени участия компонент |
| Технологичности | + | + | Н – исследование процессов; Э – проверка технологии. |
| Управляемости | + | + | |
| Инвариантности | + | + | |
| Интерпретируемости модели | - | - | теоретическая деятельность |
Таблица 4. Модельная деятельность.
| Принцип моделирования | Созидание | Замечание |
| Целенаправленности | + | степень близости достижения поставленных условий |
| Целостности | + | |
| Системности | + | |
| Комплексности | - | применим к объекту-оригиналу |
| Модульности | + | |
| Когерентности | + | |
| Ведущей компоненты | + | Учитывается только при создании модели |
| Интроспективности | + | |
| Экстраспективности | + | |
| Соответствия | + | |
| Минимальной конструкции | + | Используется для упрощения модели. |
| Аутокаталичности | + | |
| Максимального упрощения | + | |
| Адекватности | + | |
| Информационной прозрачности | + | |
| Информативности | + | |
| Развития | + | |
| Концептуализации | - | |
| Редукции сложности | + | упрощение процесса созидания |
| Технологичности | + | |
| Управляемости | + | используется при изменении объекта |
| Инвариантности | + | |
| Интерпретируемости модели | + | Модель должна быть интерпретируема. |
Задание 4. Общие выводы по применению принципов модельной деятельности.
Разнообразные принципы моделирования обладают отличными друг от друга свойствами, целями, областью применения. Это говорит о том, что в случае, когда один принцип моделирования подходит для одной деятельности эксперта, то другой может не соответствовать ей. Некоторые принципы моделирования по своей сущности похожи, но применяются совершенно в другой области. Благодаря использованию разных методов моделирования, некоторые свойства модели приобретают доминирующий характер по сравнению с другими свойствами.
Характеристики
Тип файла документ
Документы такого типа открываются такими программами, как Microsoft Office Word на компьютерах Windows, Apple Pages на компьютерах Mac, Open Office - бесплатная альтернатива на различных платформах, в том числе Linux. Наиболее простым и современным решением будут Google документы, так как открываются онлайн без скачивания прямо в браузере на любой платформе. Существуют российские качественные аналоги, например от Яндекса.
Будьте внимательны на мобильных устройствах, так как там используются упрощённый функционал даже в официальном приложении от Microsoft, поэтому для просмотра скачивайте PDF-версию. А если нужно редактировать файл, то используйте оригинальный файл.
Файлы такого типа обычно разбиты на страницы, а текст может быть форматированным (жирный, курсив, выбор шрифта, таблицы и т.п.), а также в него можно добавлять изображения. Формат идеально подходит для рефератов, докладов и РПЗ курсовых проектов, которые необходимо распечатать. Кстати перед печатью также сохраняйте файл в PDF, так как принтер может начудить со шрифтами.















