РПЗ (1071133), страница 2
Текст из файла (страница 2)
Назначим сталь 12ХН4А. Покрытие-цементация.
Таблица 1.
| Материал | Вид термической обработки | НВ пов. | НВ серд. |
| Сталь 12ХН4А | Закалка, низкий отпуск. | 614 | 302 |
| Сталь 12ХН4А | Закалка, низкий отпуск. | 614 | 302 |
2.5.2. Допускаемые напряжения при расчете на выносливость
При постоянном режиме нагрузки расчетное число циклов нагружения равно
,где
число колес, находящихся в одновременном зацеплении с=2,
частота обращения зубчатого колеса, (об/мин),
срок службы передачи,
.
2.5.3. Допускаемое контактное напряжение для шестерни и колеса
По формуле рассчитаем допускаемое контактное напряжение.
где
предел контактной выносливости поверхности зубьев, соответствующий базовому числу циклов перемены напряжений
,
коэффициент, учитывающий шероховатость поверхностей, при
,
,
коэффициент, учитывающий окружную скорость колеса, при
,
,
коэффициент долговечности, учитывает возможность повышения допускаемых напряжений для кратковременно работающих передач.
Для улучшенной стали
.
Показатель степени для стальных колес
.
коэффициент безопастности,
.
По формуле рассчитываем допустимое контактное напряжение
-
Для шестерни
, -
Для колеса
.
2.5.4. Допускаемое напряжение изгиба для материала шестерни и зубчатого колеса
По формуле рассчитаем допустимое напряжение изгиба.
где
предел выносливости при изгибе,
коэффициент, учитывающий цикл нагружения колеса,
Так как передача реверсивная, то
.
коэффициент долговечности.
коэффициент запаса прочности.
При обычных условиях работы
.
По формуле рассчитываем допустимое контактное напряжение
-
Для шестерни
, -
Для колеса
.
2.5.5. Расчет зубьев на изгиб
Рассчитаем модуль зацепления в миллиметрах для цилиндрических прямозубых передач по формуле
где
коэффициент, для прямозубых колес,
.
коэффициент расчетной нагрузки, при проектном расчете для всех видов передач.
Выберем из
,
.
коэффициент ширины зубчатого венца. Для мелкомодульных передач
. Выберем
.
число зубьев колеса.
суммарный крутящий момент
допускаемое напряжение зубьев при изгибе,
коэффицент формы зуба, выбирается в зависимости от количества зубьев.
Рассчитаем отношение
.
-
Для шестерни
, -
Для колеса
.
Так как для колеса это соотношение получилось больше, чем для шестерни, то расчет будем вести по зубчатому колесу.
.
Проведем расчет для последней передачи т.к. на этой передаче будет наибольшая изгибная нагрузка.
А,потому что делать зубчатую передачу разномодульной нецелесообразно, то назначим на все передачи модуль последней передачи.
Определим по формуле модули для передач
,
2.5.6. Расчет зубьев на контактную прочность
Для силовых передач модуль определяется по формулам.
где
для стальных прямозубых цилиндрических колес.
допускаемое контактное напряжение.
.
коэффициент ширины колеса,
. Выберем
.
Проведем расчет для последней передачи т.к. на этой передаче будет наибольшая контактная нагрузка.
А,потому что делать зубчатую передачу разномодульной нецелесообразно, то назначим на все передачи модуль последней передачи.
Выполним расчет по формулам
,
(мм)
Выберем подходящий модуль зацепления из таблицы.
Подходящий 0.45, но этот модуль из второго ряда.
Поэтому назначим на все передачи модуль из первого ряда m=0.5мм
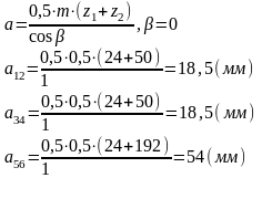
2.6. Геометрический расчет зубчатых колес и параметров передач
По проведенным кинематическому и прочностному расчетам можно сделать расчет геометрических параметров зубчатых колес, входящих в проектируемы привод.
2.6.1.Расчет делительного диаметра
2.6.2.Расчет диаметров выступов
2.6.3.Расчет диаметров впадин
2.6.4.Расчет ширины зубчатых колес
2.6.5.Расчет ширины шестерней
2.6.6.Расчет межосевого расстояния
3.Проверочный расчет спроектированного редуктора
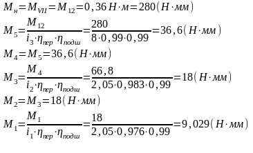
3.1.Уточняющий расчет моментов
Для уточняющего расчет моментов необходимо рассчитать КПД подшипников.
Рассчитываю КПД передач:
Рассчитаю моменты:
3.2.Проверочный расчет на прочность при кратковременных перегрузках
Пусковой момент двигателя равен
Коэффициент перегрузки равен
Статическая прочность зубьев при перегрузках моментом рассчитывается по формуле
Значение предельного напряжение определяется оп формуле
,
Статическая прочность зубьев при перегрузках моментом проверяется условием
Для зубчатого колеса
=228(МПа)
Для шестерни
=228(МПа)
228·
970<2440
228
912<2440
Условие выполняется.
4. Расчет валов и опор
4.1.Расчет диаметра валов
Целесообразно выделить наиболее нагруженный вал в редукторе и выполнить расчёт для него. Наиболее нагруженным является предпоследний вал. Ведем расчет по нему для всех валов
Рис.4
Рис.5
На Рис.4 и 5 представлены эпюры изгибающих моментов для предпоследнего вала
Выбираю вал, равный 3мм в диаметре.
4.2 Проверочный расчет валов.
Проверяю правильность выбора диаметра вала:
– допускаемое напряжение для выбранного материала
Выбранный диаметр валов удовлетворяет заданным условиям
Выбранный диаметр валов удовлетворяет заданным условиям
4.3. Расчет опор
4.3.1.Расчет опор для 1,2 валов
Поскольку в разрабатываемом редукторе присутствует только радиальная нагрузка на валы, то выбираем радиальные шарикоподшипники. Расчет будем вести по динамической грузоподъемности, т.к. частота вращения валов больше 1 об/мин, используя следующую формулу:
,
где n – частота вращения вала;
Lh – время работы;
P – эквивалентная динамическая нагрузка:
,
Где Fa – осевая нагрузка на вал (Fa = 0);
Fr – радиальная нагрузка на вал;
V – коэффициент вращения (V = 1, т. к. вращается внутреннее кольцо);
X – коэффициент радиальной нагрузки (X = 1);
Y – коэффициент осевой нагрузки (Y = 0);
Kб – коэффициент безопасности (Kб = 1);
Kт – температурный коэффициент (Kт = 1, т.к. рабочая температура ниже 125 С)
Наибольшая радиальная сила, действующая на вал в подшипниках, составляет:
Н
Тогда:
Выбираю подшипник 1000093 следующими характеристиками:
d=3(мм)
D=8(мм)
С=440(Н)
С0=200(Н)
n=6000(об/мин)
L=2200(ч)
,
98<200 cследовательно, выбранный подшипник подходит
4.3.2 Выбор подшипников для валов
Для последнего вала выбираю радиально-упорный импортный шарикоподшипник 71815-B-TVH.
5.Выбор потенциометра
Согласно заданию, угол вращения выходного вала равене 280˚ и подходящий вид потенциометра – ППМЛ. Выбираю потенциометра ППМЛ с углом поворота выходного вала равным 1800˚.Устанавливаю его через дополнительную передачу на последний вал, угол поворота которого равен:
Назначаю количество зубьев на шестерную дополнительной передачи:
Диаметр дополнительной шестерни:
d=m·z=0.5·30=15(мм)
Диаметр выступа:
Диаметр впадины:
Ширина шестерни:
6. Расчет на точность
Приняв во внимание значений коэффициентов линейного расширения материалов зубчатых колёс и корпуса, назначим для всех передач 7 степень точности и сопряжение F .
Целью данного расчёт является определение общей погрешности кинематической цепи
Общая погрешность кинематической цепи находится как сумма кинематической погрешности цепи
и погрешности мёртвого хода цепи
. Таким образом, проверяемое условие для погрешности будет иметь вид
Воспользуемся методом максимума-минимума
-
EHS – наименьшее дополнительное смещение исходного контура;
-
TH – допуск на смещение исходного контура;
-
Fr – допуск на радиальное биение зубчатого венца;
-
Fp – допуск на накопленную погрешность шага зубчатого колеса;
-
a – межосевое расстояние;
-
fa – предельное отклонение межосевого расстояния;
-
i – передаточное отношение;
6.1. Расчет кинематической погрешности цепи
Рассчитаем допуск на кинематическую погрешность для каждого зубчатого колеса:
Рассчитаем погрешность от каждого колеса:
Рассчитываю суммарную погрешность:
6.2 Расчет погрешности мертвого хода
6.2.1.Расчет люфтовой механической погрешности
Определим
- максимальный гарантированный боковой зазор.
Для первой передачи:
,
.
,
.
,
.














