[27.04.11] Лекция №10 (1060681)
Текст из файла
Лекция №10 [27.04.11]
Случайный доступ
Если передача идёт одновременно от двух станций, то возникает коллизия, данные портятся. В этом случае надо как можно скорее освободить среду передачи от коллизионных кадров. Проще всего это сделать при шинной топологии сети, всё происходит автоматически и достаточно быстро (кадр достигает границы шины и затухает). Поэтому локальные сети, использующие метод случайного доступа имею логическую структуру "общая шина".
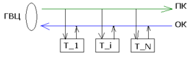
Множественный доступ – ALOHA, прямой канал и обратный канал. Прямой используется для связи с ГВЦ. Обратный канал – связи терминалов с ГВЦ, его пропускная способность распределяется между всеми терминалами.
Время потерь =
, где
- число терминалов, а
- время передачи одного кадра.
Если терминал в течение таймаута получает положительную квитанцию, значит, коллизии не произошло и передача осуществилась успешно. Если нет – то попытка передачи возобновляется, но через время ожидания, которое рассчитывается для каждого терминала случайным образом, чтобы свести к минимуму вероятность возникновения новой коллизии.
Этот метод обеспечивает коэффициент использования обратного канала не превышает 19%, а 81% - простои, коллизии.
Чтобы сократить время возможных потерь, этот ALOHA был модифицирован в тактированную ALOHA. ГВЦ по прямому каналу передаёт тактирующие метки, и терминалы имеют право передавать данные только после получения такой метки. Если два терминала подготовили кадры и получили метки, то они начнут передавать одновременно, и тогда при коллизии время потерь уменьшится, потому что раньше первый терминал мог почти-почти передать свои данные, а тут вклинивался второй, а теперь всё одновременно. Здесь коэффициент использования среды передачи данных вырос до 38%.
Множественный доступ с контролем носителя (МДКН)– узлы следят за состоянием среды. Если занято, то ждут освобождения. И в этом случае коллизия возможна только тогда, если две или более станции начнут передачу одновременно, после освобождения среды.
По определению момента передачи после освобождения среды:
I – immediately, сразу же после освобождения среды передачи. Вероятность коллизии самая высокая. КИСД (коэффициент использования среды передачи) = 53%;
P – компромиссный вариант, передача начинается с вероятностью P, поэтому данные системы иногда называют P-настойчивыми МДКН. Если известна зависимость между вероятностью запроса на передачу и длительностью передачи, то можно определить оптимальное значение вероятности P. Коллизий меньше, простоя меньше. КИСД = 83%;
N – next time, если канал оказался занятым, то момент начала передачи откладывается на более позднее время, чем освобождение канала. Коллизий меньше, но больше простой канала. КИСД = 81%;
В локальных сетях с МДКН, как и в сетях с МД, получатель, приняв кадр, проверяет его на наличие ошибок, то отправляет назад квитанцию о приёме. И ни один из методов не контролирует среду передачу в момент процесса передачи.
Множественный доступ с контролем носителя и обнаружением коллизий - чтобы обнаруживать столкновения (коллизии) и отказаться от квитанций. МДКН/ОС или CSMA/CD. Каждая станция перед началом передачи слушает канал.
Момент 1 – готовность кадра передаче;
Момент 2 – начало передачи кадра;
Момент 3 - начало приёма кадра (нормального, без ошибок);
Момент 4 – обнаружение коллизии станциями A и С. Передача кадров прекращается, передаётся сигнал затора;
Момент 5 – завершение передачи сигнала затора;
Метод накладывает ограничения на минимальный размер кадра. Время ожидание измеряется во временных квантах.
[слот-тайм] – временной квант =
Алгоритмы вычисления времени ожидания:
1) с использованием констант:
[слот-тайм],
- константа,
- переменная, в каждом узле вычисляется случайно (
);
2) линейного замедления:
[слот-тайм], где
- число столкновений в конкретной передаче на рассматриваемый момент времени. После каждой коллизии время ожидания увеличивается;
3) по двоичному экспоненциальному алгоритму замедления:
[слот-тайм];
МДКН/ОС с подтверждением – следующие возможности:
- с приёмом каждого кадра обратно отправляется квитанция (по одному и тому же каналу);
- отсутствие коллизии квитанций с другими пакетами;
В такой системе узел, имеющий запрос на передачу, посылает кадры только при условии возможности неоднократного использования среды передачи. После подтверждения свободности канала и до времени паузы – основного времени ожидания.
Каждая станция перед началом передачи выдерживает паузу, равную основному времени ожидания. Во время это паузы сигнал должен пройти между границами (максимально удалёнными станциями). В этом случае исключается ситуация, когда коллизия отсутствует, но возможны ошибки. То есть, исключается возможность коллизии квитанции с кадрами, а станция получает-таки подтверждение о переданном кадре.
МДКН и предупреждением (исключением) столкновения (коллизии) – кадры передаются через определённый интервал IPG. Для снижения вероятности коллизии межкадровый интервал делится на ещё временные слоты (например, по приоритетам станций). И вот станция может начать передачу только в тот временной слот, который соответствует её приоритету. Поэтому коллизия возможна только между равноприоритетными станциями.
Характеристики
Тип файла документ
Документы такого типа открываются такими программами, как Microsoft Office Word на компьютерах Windows, Apple Pages на компьютерах Mac, Open Office - бесплатная альтернатива на различных платформах, в том числе Linux. Наиболее простым и современным решением будут Google документы, так как открываются онлайн без скачивания прямо в браузере на любой платформе. Существуют российские качественные аналоги, например от Яндекса.
Будьте внимательны на мобильных устройствах, так как там используются упрощённый функционал даже в официальном приложении от Microsoft, поэтому для просмотра скачивайте PDF-версию. А если нужно редактировать файл, то используйте оригинальный файл.
Файлы такого типа обычно разбиты на страницы, а текст может быть форматированным (жирный, курсив, выбор шрифта, таблицы и т.п.), а также в него можно добавлять изображения. Формат идеально подходит для рефератов, докладов и РПЗ курсовых проектов, которые необходимо распечатать. Кстати перед печатью также сохраняйте файл в PDF, так как принтер может начудить со шрифтами.














