лабораторная работа 3 рассеяние (1060325)
Текст из файла
Московский государственный технический университет им. Н.Э.Баумана
Лабораторная работа №3
ИЗУЧЕНИЕ ОСОБЕННОСТЕЙ РАССЕЯНИЯ ЛАЗЕРНОГО ИЗЛУЧЕНИЯ
В МОДЕЛЬНЫХ БИОСРЕДАХ
Выполнили: cтуденты гр. БМТ2-61
Кузьменок М.
Макаренко А.
Никитин А.
Прохоров Д.
Федина Е.
Чесноков В.
Шавладзе А.
Широков П.
Преподаватель: Змиевской Г.Н.
Москва 2007
Цель работы:
-
Измерить индикатрису рассеяния лазерного излучения (зависимость интенсивности рассеянного света от направления наблюдения) на установке, блок-схема которой приведена на рис. 1, для предложенных преподавателем образцов модельных сред. В качестве фоторегистрирующего элемента использовать волоконно-оптический датчик.
-
Построить график полученных зависимостей.
-
Оценить размер рассеивающих частиц в исследованных образцах. (длина волны Не-Nе-лазера, используемого в установке, λ = 632,8 нм)
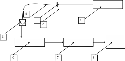
Измерение индикатрисы рассеяния лазерного излучения
проводится на установке, блок-схема которой приведена на рис. 1:
Лазерное излучение меняет направление под действием зеркала (на 90 градусов) и призмы
(ещё на 90 градусов), после чего попадает на непрозрачную для излучения диафрагму. Она представляет собой эбонитовый стержень с цилиндрическим отверстием и предназначена для создания узкого пучка света – это позволит расположить световод параллельно направлению светового луча более точно, то есть уменьшит погрешность эксперимента. Кроме того, призма и зеркало также незначительно рассеивают лазерное излучение, а выделение узкого пучка света из луча позволит уменьшить разброс поступающих в световод длин волн. Затем луч попадает на образец (насыщенный раствор сахара), на котором рассеивается, и поступает в световод, на выходе из которого стоит фотоприёмник. Поступивший сигнал регистрируется, усиливается, преобразуется в цифровой вид и поступает в ПК, где с помощью соответствующего программного обеспечения отображается на экране в виде числового значения.
В ходе эксперимента измеряется значение интенсивности света при различных положениях световода относительно луча. Поворот световода осуществляется с помощью поворотного столика на угол ∆ = 15º. В каждом положении проводится 10 измерений, а затем в качестве значения интенсивности принимается среднее. Предварительно делается замер фонового излучения (не лазерного), а также значение прямого света после прохождения диафрагмы.
| ЭКСПЕРИМЕНТАЛЬНЫЕ ДАННЫЕ | ||||
| (образец — насыщенный раствор сахара) | ||||
|
| ||||
| Внешний (шумовой) фон | 0,3509 |
| ||
| Прямой свет после прохождения диафрагмы | 3,584 |
| ||
| Угол (рад) | Номер измерения | Экспериментельное значение | Среднее значение | Значение без внешнего фона |
| 0 | 1 | 3,471 | 3,4884 | 3,1375 |
| 2 | 3,462 | |||
| 3 | 3,474 | |||
| 4 | 3,492 | |||
| 5 | 3,505 | |||
| 6 | 3,512 | |||
| 7 | 3,484 | |||
| 8 | 3,511 | |||
| 9 | 3,49 | |||
| 10 | 3,483 | |||
| 0,261799 | 1 | 2,02 | 2,0184 | 1,6675 |
| 2 | 2,023 | |||
| 3 | 2,024 | |||
| 4 | 2,027 | |||
| 5 | 2,021 | |||
| 6 | 2,019 | |||
| 7 | 2,02 | |||
| 8 | 2,021 | |||
| 9 | 2,015 | |||
| 10 | 1,994 | |||
| 0,523599 | 1 | 1,397 | 1,3998 | 1,0489 |
| 2 | 1,4 | |||
| 3 | 1,4 | |||
| 4 | 1,397 | |||
| 5 | 1,401 | |||
| 6 | 1,398 | |||
| 7 | 1,396 | |||
| 8 | 1,405 | |||
| 9 | 1,409 | |||
| 10 | 1,395 | |||
| 0,785398 | 1 | 1,134 | 1,1233 | 0,7724 |
| 2 | 1,112 | |||
| 3 | 1,106 | |||
| 4 | 1,1 | |||
| 5 | 1,128 | |||
| 6 | 1,131 | |||
| 7 | 1,131 | |||
| 8 | 1,127 | |||
| 9 | 1,129 | |||
| 10 | 1,135 | |||
| 1,047198 | 1 | 1,095 | 1,0666 | 0,7157 |
| 2 | 1,095 | |||
| 3 | 1,1 | |||
| 4 | 0,955 | |||
| 5 | 1,11 | |||
| 6 | 1,124 | |||
| 7 | 1,14 | |||
| 8 | 0,998 | |||
| 9 | 1,127 | |||
| 10 | 0,922 | |||
| 1,308997 | 1 | 1,02 | 0,959 | 0,6081 |
| 2 | 1,073 | |||
| 3 | 1,025 | |||
| 4 | 1,183 | |||
| 5 | 1,097 | |||
| 6 | 0,859 | |||
| 7 | 0,862 | |||
| 8 | 0,817 | |||
| 9 | 0,827 | |||
| 10 | 0,827 | |||
| 1,570796 | 1 | 1,108 | 1,2435 | 0,8926 |
| 2 | 1,377 | |||
| 3 | 1,459 | |||
| 4 | 1,43 | |||
| 5 | 1,203 | |||
| 6 | 1,208 | |||
| 7 | 1,11 | |||
| 8 | 1,208 | |||
| 9 | 1,112 | |||
| 10 | 1,22 | |||
| 1,832596 | 1 | 1,194 | 0,780777778 | 0,429877778 |
| 2 | 0,844 | |||
| 3 | 0,837 | |||
| 4 | 0,803 | |||
| 5 | 0,785 | |||
| 6 | 0,744 | |||
| 7 | 0,763 | |||
| 8 | 0,743 | |||
| 9 | 0,755 | |||
| 10 | 0,753 | |||
| 2,094395 | 1 | 0,888 | 0,9198 | 0,5689 |
| 2 | 0,874 | |||
| 3 | 0,929 | |||
| 4 | 0,918 | |||
| 5 | 0,902 | |||
| 6 | 1,074 | |||
| 7 | 0,921 | |||
| 8 | 0,92 | |||
| 9 | 0,92 | |||
| 10 | 0,852 | |||
| 2,356194 | 1 | 1,018 | 1,0208 | 0,6699 |
| 2 | 1,006 | |||
| 3 | 1,005 | |||
| 4 | 1,007 | |||
| 5 | 1,002 | |||
| 6 | 1,003 | |||
| 7 | 1,001 | |||
| 8 | 1,053 | |||
| 9 | 1,057 | |||
| 10 | 1,056 | |||
| 2,617994 | 1 | 1,042 | 1,0483 | 0,6974 |
| 2 | 1,012 | |||
| 3 | 1,076 | |||
| 4 | 1,031 | |||
| 5 | 1,069 | |||
| 6 | 1,023 | |||
| 7 | 1,049 | |||
| 8 | 1,084 | |||
| 9 | 1,051 | |||
| 10 | 1,046 | |||
После обработки данных получим следующий результат:
Оценка размеров рассеивающих частиц.
Для частиц различной формы и размеров было установлено, что интенсивность рассеяния зависит от длины волны падающего излучения . На рисунке показаны индикатрисы рассеяния частицами квазисферической формы с размером 0.1 (кривая 1), 0.5 (кривая 2), 2 (кривая 3).
Характеристики
Тип файла документ
Документы такого типа открываются такими программами, как Microsoft Office Word на компьютерах Windows, Apple Pages на компьютерах Mac, Open Office - бесплатная альтернатива на различных платформах, в том числе Linux. Наиболее простым и современным решением будут Google документы, так как открываются онлайн без скачивания прямо в браузере на любой платформе. Существуют российские качественные аналоги, например от Яндекса.
Будьте внимательны на мобильных устройствах, так как там используются упрощённый функционал даже в официальном приложении от Microsoft, поэтому для просмотра скачивайте PDF-версию. А если нужно редактировать файл, то используйте оригинальный файл.
Файлы такого типа обычно разбиты на страницы, а текст может быть форматированным (жирный, курсив, выбор шрифта, таблицы и т.п.), а также в него можно добавлять изображения. Формат идеально подходит для рефератов, докладов и РПЗ курсовых проектов, которые необходимо распечатать. Кстати перед печатью также сохраняйте файл в PDF, так как принтер может начудить со шрифтами.















