[30.03.11] Лекция №7 (1059220)
Текст из файла
Лекция №7 [30.03.11]
Пример не знаю чего:
Оптимизация запросов
Аналитический
или чисто формальный
Пример:
: 1000 кортежей, из которых 5 удовлетворяют условию
: 5000 кортежей, из которых 3 удовлетворяют условию
тут вторые 5.000.000 почему-то это
Теперь вначале проведём оптимизацию запроса:
Алгебраические соотношения для оптимизации запроса
Или законы эквивалентных преобразований:
1) закон коммутативности для декартовых произведений:
2) закон коммутативности для операции соединения:
операция естественного соединения:
3) закон ассоциативности для декартовых произведений:
4) закон ассоциативности для соединений:
5) комбинация (каскад) проекций:
, где
6) комбинация (каскад) селекций:
7) перестановка селекции и проекции:
8) перестановка селекции с декартовым произведением:
9) перестановка селекции с объединением:
10) перестановка селекции с разностью отношений:
11) перестановка проекции с декартовым произведением:
12) перестановка проекции с объединением:
Пример: перестановка селекции с объединением
-
-
-
Эвристический
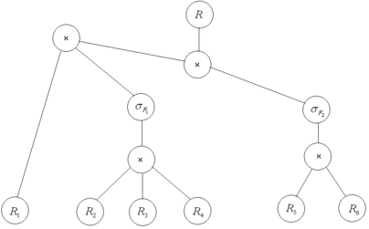
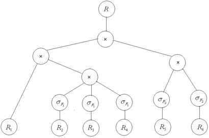
Оптимизация с помощью дерева запроса.
листья – исходные операнды, тут их шесть штук:
тяжеловесную операцию декартова произведения надо поднимать вверх, а более лёгкие опускать вниз:
Характеристики
Тип файла документ
Документы такого типа открываются такими программами, как Microsoft Office Word на компьютерах Windows, Apple Pages на компьютерах Mac, Open Office - бесплатная альтернатива на различных платформах, в том числе Linux. Наиболее простым и современным решением будут Google документы, так как открываются онлайн без скачивания прямо в браузере на любой платформе. Существуют российские качественные аналоги, например от Яндекса.
Будьте внимательны на мобильных устройствах, так как там используются упрощённый функционал даже в официальном приложении от Microsoft, поэтому для просмотра скачивайте PDF-версию. А если нужно редактировать файл, то используйте оригинальный файл.
Файлы такого типа обычно разбиты на страницы, а текст может быть форматированным (жирный, курсив, выбор шрифта, таблицы и т.п.), а также в него можно добавлять изображения. Формат идеально подходит для рефератов, докладов и РПЗ курсовых проектов, которые необходимо распечатать. Кстати перед печатью также сохраняйте файл в PDF, так как принтер может начудить со шрифтами.














