[29.09.11] Лекция №5 (1051921)
Текст из файла
Лекция №5 [29.09.11]
Язык описания совокупности параллельных/последовательных процессов
ПОСП – псевдоязык описания сцеплённых процессов. Метасистема, метаязык.
Алфавит: любые символы, числа (у дробей десятичная точка), идентификаторы (переменные, первый символ обязательно символ, со второго можно числа).
Служебные слова: на русском языке, подчёркнутые.
Каменты: //
Понятия языка
Типы данных:
1) скаляр – атомарный (неделимый) элемент (число, строка, что угодно). Типы скаляров:
- просто скаляр;
- ссылка (указатель), адрес объекта;
- метка, адрес оператора (goto, типа);
2) переменные – имя (идентификатор) и значение (скаляр). Простая переменная и переменная с индексом;
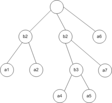
3) вектор – линейная последовательность элементов. Элементом может быть скаляр или вектор, но первым элементом должен быть скаляр. В общем случае, вектор описывает дерево. Вот например:
W = (b1(a1,a2),b2(b3(a4,a5),a7),a6);
Чтобы обратиться к а4: W(2(1(1)));
4) поле – многомерный массив, состоящий из скаляров.
Описание типа: сначала перечисляются идентификаторы, потом дефис, потом тип.
<тип>::=<скаляр/ссылка/вектор/поле>
::= это не опечатка, а "это есть".
A, B, C – скаляры
W – вектор (вектор(а1,а2-скаляры),вектор(вектор(а4,а5),а7-скаляр),а6-скаляр).
Причём! а1, а2, а362 – это не имена переменных, это просто позиции, места, там можно ставить цифры, тупо какой по счёту это элемент. Ну вот:
W – вектор (вектор(1,2-скаляры),вектор(вектор(1,2),2-скаляр),3-скаляр).
Характеристики
Тип файла документ
Документы такого типа открываются такими программами, как Microsoft Office Word на компьютерах Windows, Apple Pages на компьютерах Mac, Open Office - бесплатная альтернатива на различных платформах, в том числе Linux. Наиболее простым и современным решением будут Google документы, так как открываются онлайн без скачивания прямо в браузере на любой платформе. Существуют российские качественные аналоги, например от Яндекса.
Будьте внимательны на мобильных устройствах, так как там используются упрощённый функционал даже в официальном приложении от Microsoft, поэтому для просмотра скачивайте PDF-версию. А если нужно редактировать файл, то используйте оригинальный файл.
Файлы такого типа обычно разбиты на страницы, а текст может быть форматированным (жирный, курсив, выбор шрифта, таблицы и т.п.), а также в него можно добавлять изображения. Формат идеально подходит для рефератов, докладов и РПЗ курсовых проектов, которые необходимо распечатать. Кстати перед печатью также сохраняйте файл в PDF, так как принтер может начудить со шрифтами.














