[22.09.11] Лекция №4 (1051910)
Текст из файла
Лекция №4 [22.09.11]
Операторно-параметрические схемы
Это наш трек, на котором указаны ещё и параметры,
.
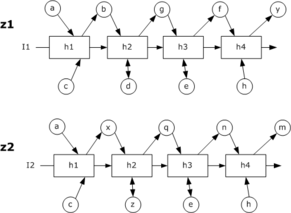
Параметры могут быть входные, выходные и рабочие. На рисунке два процесса с одинаковыми треками, с одинаковым набором элементарных операторов, но с разными параметрами (хотя некоторые совпадают).
Такие процессы называются однородными. Их можно свернуть в один общий, это особенно актуально, если у нас таких процессов четыреста две штуки. Или четыреста три.
Сначала нужно выделить уникальные параметры для каждого процесса и переопределить инициатор:
Инициатор теперь стал носителем локальной среды. А элементарные операторы
стали объединёнными операторами (работают ещё и с локальной средой инициатора).
И, в общем-то, должны возникать коллизии, особенно когда у нас четыреста инициаторов, но так как время сцепления равно нулю (мгновенное же сцепление), то всё нормально.
Вот так мы получили свёрнутое описание однородных процессов.
Конфликты на ресурсах
Ресурс – общая область параметров объектов. То есть, ресурс – это пересечение двух объектов,
, подмножество параметров системы.
Конфликт на ресурсе – такая ситуация, когда два или более процессов одновременно меняют значение какого параметра, принадлежащего ресурсу (то есть, общей области).
Способы разрешения конфликтов:
1) синхронизация процессов, временное разделение. Для каждого процесса определяется время, когда он может работать с ресурсом;
2) использование семафоров – логических переменных (типа bool). Сколько ресурсов, столько и семафоров. Сами семафоры тоже ресурсы, тоже могут вызвать конфликт;
3) введение контроллера, то есть алгоритма. Диспетчеризация.
Блоки, типы блоков
Блок – произвольное плотное подмножество трека, включая параметры. Блок может содержать не только трек, но и структуру (то есть, свёрнутый трек).
Типы блоков:
1) агрегат – блок, в котором реализуется один единственный замкнутый процесс. Представляет собой трек (структуру), в которой находится один единственный инициатор (раз у нас один процесс). Взаимодействует с внешней для него средой только через параметр;
2) процессор – блок, который содержит только трек из объединённых операторов, без инициатора. Предназначен для генерации однородных процессов;
3) контроллер – в нём реализуется один какой-то процесс. Содержит инициатор.
Чтобы контроллер работал с чужими инициаторами (а они чужие, потому что у него есть свой), нужно превращать эти инициаторы в параметры, тогда он сможет с ними работать. Такая операция превращения называется пассивизацией инициатора. После этого в инициализаторе останется только ссылка на среду (как раз то, чем являются параметры).
Обратная операция – активизация инициатора.
Характеристики
Тип файла документ
Документы такого типа открываются такими программами, как Microsoft Office Word на компьютерах Windows, Apple Pages на компьютерах Mac, Open Office - бесплатная альтернатива на различных платформах, в том числе Linux. Наиболее простым и современным решением будут Google документы, так как открываются онлайн без скачивания прямо в браузере на любой платформе. Существуют российские качественные аналоги, например от Яндекса.
Будьте внимательны на мобильных устройствах, так как там используются упрощённый функционал даже в официальном приложении от Microsoft, поэтому для просмотра скачивайте PDF-версию. А если нужно редактировать файл, то используйте оригинальный файл.
Файлы такого типа обычно разбиты на страницы, а текст может быть форматированным (жирный, курсив, выбор шрифта, таблицы и т.п.), а также в него можно добавлять изображения. Формат идеально подходит для рефератов, докладов и РПЗ курсовых проектов, которые необходимо распечатать. Кстати перед печатью также сохраняйте файл в PDF, так как принтер может начудить со шрифтами.














