расчетно- поясниетльная записка по главной ферме мостового к (1041430)
Текст из файла
Содержание.
1. Расчет усилий в стержнях и построение линий влияния.
1.1. Линии влияния для опор фермы.
1.2. Линии влияния для В-10.
1.3. Линии влияния для Н-5.
1.4. Линии влияния для Р-10.
1.5. Линии влияния для С-1.
1.6. Линии влияния для С-2.
2. Определение усилий Nmax(D), Nmin(D), N(Q).
3. Составление таблицы минимальных и максимальных усилий во всех стержнях.
4. Подбор сечений первого варианта.
4.1. Сечение верхнего пояса.
4.2. Сечение нижнего пояса.
4.3. Сечения раскосов.
4.4. Сечения стоек.
5. Расчет сечений на статическую прочность, выносливость и устойчивость.
5.1. Сечение верхнего пояса.
5.2. Сечение нижнего пояса.
5.3. Сечение раскосов.
5.4. Сечение стоек.
6. Расчет концевой балки.
7. Расчет сварных швов.
8. Подбор сечений второго варианта.
8.1. Сечение верхнего пояса.
8.2. Сечение нижнего пояса.
8.3. Сечение раскосов.
8.4. Сечение стоек.
9. Расчет сечений на статическую прочность, выносливость и устойчивость.
9.1. Сечение верхнего пояса.
9.2. Сечение нижнего пояса.
9.3. Сечение раскосов
9.4. Сечение стоек.
10. Расчет сварных швов.
11. Описание технологического листа.
1. Расчет усилий в стержнях и построение линий влияния.
1.1. Линии влияния для опор фермы.
Построим линии влияния для опор фермы.
1.1.1. Построение линий влияния для опоры А.
1.1.2. Построение линий влияния для опоры В.
1.2. Линии влияния для В-10.
1.2.1. Груз находится слева от сечения.
1.2.2. Груз находится справа от сечения.
1.3. Линии влияния для Н-5.
1.3.1. Груз находится слева от сечения.
1.3.2. Груз находится справа от сечения.
1.4. Линии влияния для Р-10.
1.4.1. Груз находится справа от сечения.
1.4.2. Груз находится слева от сечения.
1.5. Линии влияния для С-1.
1.6. Линии влияния для С-2.
1.6.1. Груз находится справа от точки 2.
1.6.2. Груз находится на против точки 2.
1.6.3. Груз перемещается от точки 1 к точке2.
1.6.4. Груз перемещается от точки 2 к точке 3.
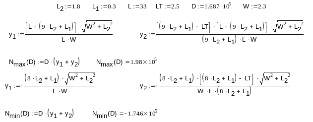
2. Определение усилий Nmax(D), Nmin(D), N(Q).
2.1. Стержень верхнего пояса В-10.
2.2. Стержень нижнего пояса Н-5.
2.3. Стержень раскоса Р-10.
2.4. Стержень стойки С-1.
2.5. Стержень стойки С-2.
2.6. Стержень верхнего пояса В-10.
2.7. Стержень нижнего пояса Н-5.
2.8. Стержень Раскоса Р-10.
2.9. Стержень стойки С-1.
2.10.Стержень стойки С-2.
3. Составление таблицы минимальных и максимальных усилий во всех стержнях.
3.1. Верхний пояс главной фермы.
3.2. Нижний пояс главной фермы.
3.3. Раскосы.
3.4. Стойки.
4. Подбор сечений первого варианта.
4.1. Сечение верхнего пояса.
4.2. Сечение нижнего пояса.
4.3. Сечение раскоса.
4.4. Сечение стойки.
5. Расчет сечений на статическую прочность, выносливость и устойчивость.
5.1. Сечение верхнего пояса.
5.2. Сечение нижнего пояса.
5.3. Сечение раскосов.
5.4. Сечение стоек.
6. Расчет концевой балки.
7. Расчет сварных швов.
8. Подбор сечений второго варианта.
9. Расчет сечений на статическую прочность, выносливость и устойчивость.
10. расчеты сварных швов.
11. Описание технологического листа.
Характеристики
Тип файла документ
Документы такого типа открываются такими программами, как Microsoft Office Word на компьютерах Windows, Apple Pages на компьютерах Mac, Open Office - бесплатная альтернатива на различных платформах, в том числе Linux. Наиболее простым и современным решением будут Google документы, так как открываются онлайн без скачивания прямо в браузере на любой платформе. Существуют российские качественные аналоги, например от Яндекса.
Будьте внимательны на мобильных устройствах, так как там используются упрощённый функционал даже в официальном приложении от Microsoft, поэтому для просмотра скачивайте PDF-версию. А если нужно редактировать файл, то используйте оригинальный файл.
Файлы такого типа обычно разбиты на страницы, а текст может быть форматированным (жирный, курсив, выбор шрифта, таблицы и т.п.), а также в него можно добавлять изображения. Формат идеально подходит для рефератов, докладов и РПЗ курсовых проектов, которые необходимо распечатать. Кстати перед печатью также сохраняйте файл в PDF, так как принтер может начудить со шрифтами.









