Плоская задача в прямоугольных координатах (1027656), страница 3
Текст из файла (страница 3)
- геометрические граничные условия
V. Уравнения неразрывности деформации (сплошности):
В нашей плоской задаче из 6 уравнений трехмерной теории упругости (3.1) остается только одна:
С математической точки зрения система уравнений ПНС записывается теми же уравнениями, что и ПДС. В системе уравнений закона Гука для ПДС используются приведенные модули
. В остальном при формально одинаковых формах записи уравнений возможно разработать единый механизм решения плоской задачи, учитывая в исходных данных характеристики задачи ПНС или ПДС.
Уравнения Ламе для ПНС.
Уравнения Ламе:
Условия существования ПДС в теле:
Внешние силы:
.
Контурные силы:
.
Преобразуем уравнения Ламе:
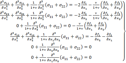
Уравнения Бельтрами-Митчелла для ПНС.
Уравнения Бельтрами-Митчелла:
Условия существования ПДС в теле:
Внешние силы:
.
Контурные силы:
.
Преобразуем уравнения Бельтрами-Митчелла:
2.3. Решение плоской задачи в напряжениях
Получим систему уравнений плоской задачи в терминах напряжений. Поскольку неизвестными напряжениями являются 3 компоненты
то для их определения нужно иметь 3 уравнения. Первые 2 это уравнения равновесия, а третье получим преобразовав уравнения совместности деформаций записав его в терминах напряжений.
Подставим в (2.1.7) или (2.2.6) соотношения закона Гука (упругие константы
и
назначаются в соответствии с условием ПДС или ПНС)
выразим
из (2.2.1) предварительно продифференцировав его по
и
:
Сложив эти два уравнения получим:
Подставим полученное выражение в (2.3.1):
Получаем недостающее уравнение:
- уравнение неразрывности записанное в напряжениях.
Система уравнений необходимая для решения плоской задачи в напряжениях :
2.4. Функция напряжений Эри
Эри предложил искать решение системы
как сумму общего интеграла однородной системы
и частного решения неоднородной системы (2.4.1).
Решение однородной системы будем искать в форме:
Проверим подставив в (2.4.2):
функция
- является решением однородной системы (2.4.2) называется функцией Эри.
Запишем уравнение неразрывности через функцию Эри:
(2.4.4) – бигармоническое уравнение.
Введя функцию Эри, мы фактически упростили математическую формулировку задачи и свели ее к одному бигармоническому уравнению (2.4.4) при соответствующих граничных условиях.
Граничные условия в терминах функции напряжений:
Найдя общее решение однородной системы и зная граничные условия, можно решать самостоятельные задачи, в которых пренебрегают объемными силами. Частное решение неоднородной системы зависит от вида объемных сил.
2.5. Прямая и обратная задачи
Различают прямые и обратные задачи теории упругости:
Прямая – такая задача в которой заданы:
-
конфигурация конструкции
-
материал конструкции
-
внешние силы (поверхностные и объемные)
-
условия закрепления
Требуется определить: напряженно-деформированное состояние.
Обратная – такая задача в которой заданы:
-
конфигурация конструкции
-
материал конструкции
-
условия закрепления
-
напряженно-деформированное состояние
Требуется определить: внешние силы которые задают это напряженное состояние.
3. Решение обратной задачи с помощью алгебраических полиномов
3.1. Общие подходы к решению обратных задач с помощью функции Эри
Выше было найдено:
Рассмотрим произвольный контур для объекта плоской задачи. А1А0 – часть, где заданы внешние нагрузки.
Из геометрических соображений преобразуем (3.1.3):
Возьмем интеграл:
Из (3.1.5) следует, что по физическому смыслу первая производная от функции напряжения (Эри) является соответствующей проекцией главного вектора поверхностных сил, действующих на дуге контура А1А0 .
Тогда с учетом (3.1.5) получим:
M – момент равнодействующей всех поверхностных сил относительно S1.
Значение функции напряжения в любой точке контура равно моменту нагрузки, приложенной к дуге контура между начальной и текущей точкой, взятому относительно текущей точки.
3.2. Решение задачи.
Условие:
Для плоского упругого тела единичной толщины, изображенного на рис.1 , дана функция напряжения
.
Рис. 1
Определить:
-
удовлетворяет ли данная функция уравнению совместности деформации.
-
внешние поверхностные силы.
Для заданного деформируемого твердого тела проверить выполнение условий равновесия.
1. Для того чтобы использовать заданную функцию напряжения необходимо удостовериться, что она удовлетворяет условию бигармоничности, или условию совместности деформаций:
Условие выполняется.
2. Определим напряженное состояние в области:
3. Определи внешнюю поверхностную нагрузку, для этого используем выражение для граничных условий:
Сторона ОА:
Сторона ОВ:
Сторона АВ:
Из геометрических соображений получаем
4. После определения контурных сил необходимо сделать проверку на равновесие системы:
Из геометрических соображений
и
тогда:
Проверка выполняется.
Литература:
1. Конспект лекций. Сдобников А.Н.
32
















