Курсач (1021872)
Текст из файла
МОСКОВСКИЙ ГОСУДАРСТВЕННЫЙ ИНСТИТУТ РАДИОТЕХНИКИ, ЭЛЕКТРОНИКИ И АВТОМАТИКИ
(ТЕХНИЧЕСКИЙ УНИВЕРСИТЕТ)
Курсовая работа № 1.1
Вариант 70
Задание «Линейные электрические цепи постоянного тока в установившемся режиме»
по предмету «ТОЭ»
студента группы КА-3-05
Скавинского Николая
Работа сдана
Дата _____
Подпись студента _________
Преподаватель: Любарская Т.А.
Дата _____
Оценка _____
Вариант 70
1. Упростить схему, заменив последовательно и параллельно соединённые резисторы четвёртой и шестой ветвей эквивалентными. Дальнейший расчёт вести для упрощённой схемы.
2. Составить на основании законов Кирхгофа систему уравнений для расчета токов во всех ветвях схемы.
Подставляем в данные уравнения значения токов, найденных с помощью программы Electronics Workbench 5.12, чтобы поверить правильность составления уравнений.
3. Определить токи во всех ветвях схемы методом контурных токов.
-
Запишем формализованную систему уравнений для метода контурных токов.
-
Подставим полученные коэффициенты в исходную систему
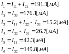
Решая данную систему в программе MathCad, получаем следующие значения I
Выразим искомые токи ветвей через контурные токи
Характеристики
Тип файла документ
Документы такого типа открываются такими программами, как Microsoft Office Word на компьютерах Windows, Apple Pages на компьютерах Mac, Open Office - бесплатная альтернатива на различных платформах, в том числе Linux. Наиболее простым и современным решением будут Google документы, так как открываются онлайн без скачивания прямо в браузере на любой платформе. Существуют российские качественные аналоги, например от Яндекса.
Будьте внимательны на мобильных устройствах, так как там используются упрощённый функционал даже в официальном приложении от Microsoft, поэтому для просмотра скачивайте PDF-версию. А если нужно редактировать файл, то используйте оригинальный файл.
Файлы такого типа обычно разбиты на страницы, а текст может быть форматированным (жирный, курсив, выбор шрифта, таблицы и т.п.), а также в него можно добавлять изображения. Формат идеально подходит для рефератов, докладов и РПЗ курсовых проектов, которые необходимо распечатать. Кстати перед печатью также сохраняйте файл в PDF, так как принтер может начудить со шрифтами.















