МУ и варианты ТР(1 часть) пределы,производные (1017768), страница 2
Текст из файла (страница 2)
Если один из рассматриваемых пределов обращается в ∞ или не существует, то это свидетельствует о том, что наклонных асимптот график функции не имеет.
Для рассматриваемой функции находим
Следовательно, график функции имеет и наклонную асимптоту
.
-
Находим первую производную
Находим критические (подозрительные) точки на экстремум. Это x1 = 0 и x2 = 6 - точки, где y' = 0, а также точка x = 2, где производная y' не существует.
Составим следующую таблицу:
Из таблицы видно, что при
функция возрастает, при
функция убывает, а при
функция вновь возрастает. В точке x=6 функция достигает минимума.
-
Находим вторую производную
Приравнивая
, находим x=0, а в точке x=2 y'' не существует.
Cоставим следующую таблицу:
-
П
остроение графика функции целесообразно начинать с построения асимптот, затем на плоскости изображаются характерные точки графика функции – точки пересечения с осями координат, точки экстремума, точки перегиба. Учитывая все полученные сведения, строим эскиз графика заданной функции. (рис. 1)
Рис. 1
-
Комплексным числом называется упорядоченная пара действительных чисел z = (a; b). Алгебраическая форма комплексного числа имеет вид z = a + ib.
Рассмотрим два комплексных числа:
Сумма, разность, произведение и частное двух комплексных чисел определяются следующим образом:
Г
еометрически комплексные числа изображаются точками на комплексной плоскости или радиусами векторами этих точек.
0
Рис. 2
К
омплексное число z = a + bi можно интерпретировать как точка М или радиус-вектор ОМ. (рис. 2)
Каждое комплексное число z = a + bi, отличное от нуля, может быть представлено в тригонометрической форме:
где
- модуль комплексного числа,
- аргумент комплексного числа.
Согласно формуле Эйлера
поэтому комплексное число может быть также представлено и в показательной форме
Тригонометрическую и показательную форму комплексного числа используют при умножении и делении комплексных чисел, а также при возведении комплексного числа в целую степень и извлечении корня целой степени.
Если
то
где k = 0, 1, 2, … (n - 1).
Пример: Заданы два комплексных числа
Найти:
а) z1 + z2 , z1 – z2 , z1 · z2 ,
и изобразить их на комплексной плоскости;
б) z16 ;
Решение:
Радиус-вектор
определяет число
, радиус-вектор
определяет число
Числа z1 · z2 и
изображены соответственно радиусами-векторами
и
. (рис. 3)
Рис. 3
Представим комплексные числа
и
в тригонометрической и показательной формах:
Тогда
Найдем все значения
. По формуле
Следовательно:
Рис. 4
Точки, соответствующие числам
находятся на вершинах квадрата, вписанного в окружность радиуса
с центром в точке z = 0. (рис. 4)
ФОРМУЛЫ ДИФФЕРЕНЦИРОВАНИЯ
ПРАВИЛА ДИФФЕРЕНЦИРОВАНИЯ
УСЛОВИЯ ПРИМЕРОВ И ЗАДАЧ ОСНОВНОЙ ЧАСТИ ЗАДАНИЯ.
-
Вычислить предел функции с помощью первого замечательного предела.
-
Вычислить предел функции с помощью второго замечательного предела.
-
Найти производную функции.
-
Найти производную функции, применяя предварительно логарифмирование функции.
-
Найти производную неявно заданной функции.
-
Найти первую и вторую производные по x функции, заданной параметрически.
-
Найти производную функции указанного порядка.
-
Вычислить предел функции, используя правила Лопиталя.
-
Провести полное исследование и построить графики двух предлагаемых функций.
а) найти комплексные числа и изобразить их точками на комплексной плоскости;
б) возвести в степень m число z1;
в) найти все значения корня n – ой степени из числа z2.
УСЛОВИЯ ПРИМЕРОВ И ЗАДАЧ
ДОПОЛНИТЕЛЬНОЙ ЧАСТИ ЗАДАНИЯ.
-
Исследовать на непрерывность и построить график функции.
-
Найти углы между пересекающимися кривыми y = f(x) и у = φ(x), предварительно сделав вывод общей формулы.
-
Доказать справедливость приведенного равенства или неравенства. При доказательстве неравенства использовать теорему Лагранжа.
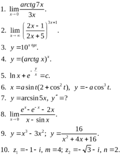
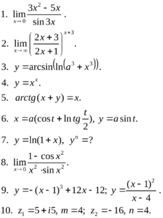
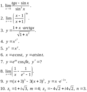
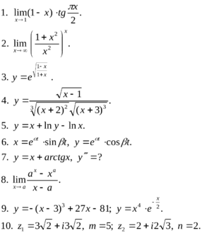
ВАРИАНТ 1
Основная часть задания:
Дополнительная часть задания:
ВАРИАНТ 2
Основная часть задания:
Дополнительная часть задания:
ВАРИАНТ 3
Основная часть задания:
Дополнительная часть:
ВАРИАНТ 4
Основная часть задания:
Дополнительная часть задания:
ВАРИАНТ 5
Основная часть задания:
Дополнительная часть задания:
ВАРИАНТ 6
Основная часть задания:
Дополнительная часть задания:
ВАРИАНТ 7
Основная часть задания:
Дополнительная часть задания:
ВАРИАНТ 8
Основная часть задания:
Дополнительная часть задания:
ВАРИАНТ 9
Основная часть задания:
Дополнительная часть задания:
ВАРИАНТ 10
Основная часть задания:
Дополнительная часть задания:
ВАРИАНТ 11
Основная часть задания:
Дополнительная часть задания:
ВАРИАНТ 12
Основная часть задания:
Дополнительная часть задания:
ВАРИАНТ 13
Основная часть задания:
Дополнительная часть задания:
ВАРИАНТ 14
Основная часть задания:
Дополнительная часть задания:
ВАРИАНТ 15
Основная часть задания:
Дополнительная часть задания:
ВАРИАНТ 16
Основная часть задания:
Дополнительная часть задания:
ВАРИАНТ 17
Основная часть задания:
Дополнительная часть задания:
ВАРИАНТ 18
Основная часть задания:
Дополнительная часть задания:
ВАРИАНТ 19
Основная часть задания:
Дополнительная часть задания:
ВАРИАНТ 20
Основная часть задания:
Дополнительная часть задания:
ВАРИАНТ 21
Основная часть задания:
Дополнительная часть задания:
ВАРИАНТ 22
Основная часть задания:
Дополнительная часть задания:
ВАРИАНТ 23
Основная часть задания:
Дополнительная часть задания:
ВАРИАНТ 24
Основная часть задания:
Дополнительная часть задания:
ВАРИАНТ 25
Основная часть задания:
Дополнительная часть задания:
остроение графика функции целесообразно начинать с построения асимптот, затем на плоскости изображаются характерные точки графика функции – точки пересечения с осями координат, точки экстремума, точки перегиба. Учитывая все полученные сведения, строим эскиз графика заданной функции. (рис. 1)















