Примеры управляющих графов (1013964)
Текст из файла
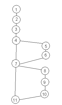
//программа 1. Copy. копирование входнного потока во выходной
main()
{
//вспомогательный символ
int c;
c = getchar();
//копируем до тех пор, пока не встретим конец файла
while (c!=EOF)
{
putchar(C);
c=getchar(c);
}
}
Граф программы
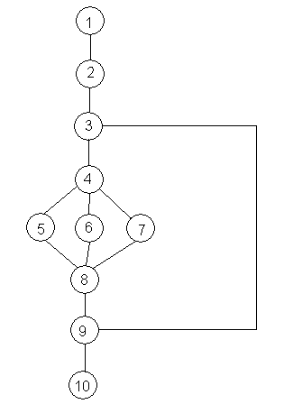
//программа 2. AnalysisText Подсчет числа цифр, "белых" символов и обычных
main()
{
//вспомогательный символ
int c;
//переменная для подсчета цифр
int CountDigits;
//переменная для подсчета "белых" символов
int CountSpace;
//переменная для подсчета остальных символов
int CountOther;
//инициализация переменных
CountDigits=0;
CountSpace=0;
CountOther=0;
//копируем до тех пор, пока не встретим конец файла
while (c=getchar()!=EOF)
{
/*в зависимости от того, какой символ встретим, увеличиваем соответсвующуюпеременную */
if (C>=`0` && C<=`9`)
CountDigits++;
else if (C==`` || C==`\N` || c==`\T`)
CountSpace++;
else
CountOther++;
}
//печать результатов работы программы
printf("Число цифр равно = ",CountDigits);
printf("Число белых символов равно = ",CountSpace);
printf("Число прочих символов равно = ",CountOther);
}
Граф программы
//программа 3. Atoi.Перевод числа в строку
main()
{
//число
int digits;
//вспомогательный символ
int c;
print("ВВедите число");
scanf(digits);
if (digits<0)
printf("-");
digits=-digits;
while (digits>0)
{
//вытаскиваем очередную цифру из числа и выводим ее на печать
c=digits % 10 + `0`;
printf(c);
digits=digits/10;
}
}
Граф программы
Характеристики
Тип файла документ
Документы такого типа открываются такими программами, как Microsoft Office Word на компьютерах Windows, Apple Pages на компьютерах Mac, Open Office - бесплатная альтернатива на различных платформах, в том числе Linux. Наиболее простым и современным решением будут Google документы, так как открываются онлайн без скачивания прямо в браузере на любой платформе. Существуют российские качественные аналоги, например от Яндекса.
Будьте внимательны на мобильных устройствах, так как там используются упрощённый функционал даже в официальном приложении от Microsoft, поэтому для просмотра скачивайте PDF-версию. А если нужно редактировать файл, то используйте оригинальный файл.
Файлы такого типа обычно разбиты на страницы, а текст может быть форматированным (жирный, курсив, выбор шрифта, таблицы и т.п.), а также в него можно добавлять изображения. Формат идеально подходит для рефератов, докладов и РПЗ курсовых проектов, которые необходимо распечатать. Кстати перед печатью также сохраняйте файл в PDF, так как принтер может начудить со шрифтами.















