Областью определения функции y = (5 − x) / √(x² − 8x + 7) является: - Ответ на вопрос №43029
-42%
Вопрос
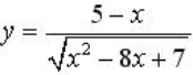
Областью определения функции y = (5 − x) / √(x² − 8x + 7) является:
- x ∈ (−∞; +∞);
- x ∈ (1; 7);
- x ∈ [1; 7);
- x ∈ (−∞; 1) ⋃ (7; +∞);
- x ∈ (−∞; 1] ⋃ [7; +∞).



















