Определите тип уравнения, решите уравнение и укажите ответ - Ответ на вопрос №320629
-42%
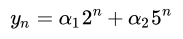
Вопрос
Определите тип уравнения, решите уравнение и укажите ответ
Ответ

Если нужен другой вариант работы или отдельная задача из любой работы, пишите в комментарии


















