Ответ на вопрос №320623: Найдите предел Найдите предел - Ответ на вопрос №320623Найдите предел - Ответ на вопрос №320623
2025-03-262025-03-26СтудИзба
Найдите предел - Ответ на вопрос №320623
-42%
Вопрос
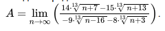
Найдите предел
Ответ

Если нужен другой вариант работы или отдельная задача из любой работы, пишите в комментарии















