Пусть дана система уравнений A = {2x₁ − 3x₂ + - Ответ на вопрос по Высшая математика №281360
-16%
Вопрос
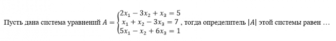
Пусть дана система уравнений A = {2x₁ − 3x₂ + x₃ = 5, x₁ + x₂ − 3x₃ = 7, 5x₁ − x₂ + 6x₃ = 1, тогда определитель |A| этой системы равен …
Ответ

Важен лишь масштаб деяний. Их абсолютная величина. Знак же значения не имеет. Минус легко меняется на плюс, и наоборот. Вот только ноль ни на что никогда не меняется.
online



















