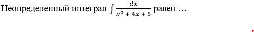
Неопределенный интеграл ∫ dx / (x² + 4x + 5) равен … - Ответ на вопрос №220069
-42%
Вопрос
Неопределенный интеграл ∫ dx / (x² + 4x + 5) равен …
Ответ

Важен лишь масштаб деяний. Их абсолютная величина. Знак же значения не имеет. Минус легко меняется на плюс, и наоборот. Вот только ноль ни на что никогда не меняется.
online
















