Решением системы линейных уравнений является: - Ответ на вопрос по любому предмету №246500
Вопрос
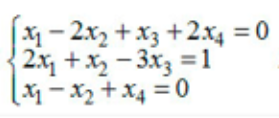
Решением системы линейных уравнений
является: - x1=t, x2=t+1, x3=t, x4=1
- x1=t, x2=t, x3=t, x4=1-t
- x1=t+1, x2=2t-1, x3=-t+1, x4=5
- x1=0, x2=0, x3=1/3, x4=0
Ответ

Гарантия сдачи без лишних хлопот! ✅🎓 Ответы на тесты по любым дисциплинам, базы вопросов, работы и услуги для Синергии, МЭИ и других вузов – всё уже готово! 🚀 🎯📚 Гарантия качества – или возврат денег! 💰✅
meimei1337









