Соотнесите - Ответ на вопрос по теории вероятностей и математической статистике №250152
-26%
Вопрос
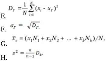
Соотнесите понятия статистики с их характеристиками:A. Генеральная дисперсия
B. Генеральным средним квадратическим отклонением
C. Генеральная средняя
D. Выборочная дисперсия

Ответ
Этот вопрос в коллекциях




















