Центральная - Ответ на вопрос по теории вероятностей и математической статистике №250121
-21%
Вопрос
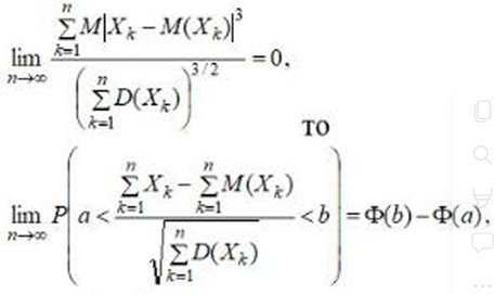
Центральная предельная теорема … гласит, если последовательность попарно независимых случайных величин X₁, X₂, …, Хₙ, …, удовлетворяет условию
Ответ
Этот вопрос в коллекциях




















