Соотнесите - Ответ на вопрос по теории вероятностей и математической статистике №250023
-32%
Вопрос
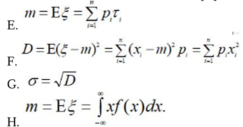
Соотнесите понятия теории вероятностей с их математическими выражениями:A. Математическое ожидание дискретной случайной величины
B. Дисперсия дискретной случайной величины
C. Среднеквадратическое отклонение
D. Математическое ожидание непрерывной случайной величины

Ответ
Этот вопрос в коллекциях




















