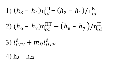
Цикла ПГУ с котлом утилизатором. Как рассчитать работу цикла? - Ответ на вопрос №331474
Вопрос
Цикла ПГУ с котлом утилизатором. Как рассчитать работу цикла?
Ответ

Гарантия сдачи без лишних хлопот! ✅🎓 Ответы на тесты по любым дисциплинам, базы вопросов, работы и услуги для Синергии, МЭИ и других вузов – всё уже готово! 🚀 🎯📚 Гарантия качества – или возврат денег! 💰✅ По любым вопросам: ➡️ {new_chat_mini} ⬅️
meimei1337














