Ответ на вопрос №936076: Функция полезности потребителя задана 𝒖(𝒙, 𝒚) = Какую долю занимает товар y в доходе потребителя?Выберите один ответ: 0,2 1 2 0,4 Функция полезности потребителя задана 𝒖(𝒙, 𝒚) = Какую долю занимает - Ответ на вопрос №936076Функция полезности потребителя задана 𝒖(𝒙, 𝒚) = Какую долю занимает - Ответ на вопрос №936076
 2025-08-162025-08-16СтудИзба
 
Функция полезности потребителя задана 𝒖(𝒙, 𝒚) = Какую долю занимает - Ответ на вопрос №936076
Вопрос
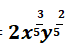
Функция полезности потребителя задана 𝒖(𝒙, 𝒚) =
 Какую долю занимает товар y в доходе потребителя?Выберите один ответ:- 0,2
 - 1
 - 2
 - 0,4
 
Ответ
Этот вопрос в коллекциях

Гарантия сдачи без лишних хлопот! ✅🎓 Ответы на тесты по любым дисциплинам, базы вопросов, работы и услуги для Синергии, МЭИ и других вузов – всё уже готово! 🚀 🎯📚 Гарантия качества – или возврат денег! 💰✅

















