Ответ на вопрос №936056: Функция полезности потребителя задана 𝒖(𝒙, 𝒚) = .. Какую долю занимает товар y в доходе потребителя? 0,5 1 2 0,75 Функция полезности потребителя задана 𝒖(𝒙, 𝒚) = .. Какую долю - Ответ на вопрос №936056Функция полезности потребителя задана 𝒖(𝒙, 𝒚) = .. Какую долю - Ответ на вопрос №936056
2025-08-162025-08-16СтудИзба
Функция полезности потребителя задана 𝒖(𝒙, 𝒚) = .. Какую долю - Ответ на вопрос №936056
Вопрос
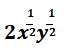
Функция полезности потребителя задана 𝒖(𝒙, 𝒚) =
.. Какую долю занимает товар y в доходе потребителя?- 0,5
- 1
- 2
- 0,75
Ответ
Этот вопрос в коллекциях

Гарантия сдачи без лишних хлопот! ✅🎓 Ответы на тесты по любым дисциплинам, базы вопросов, работы и услуги для Синергии, МЭИ и других вузов – всё уже готово! 🚀 🎯📚 Гарантия качества – или возврат денег! 💰✅

















