Ответ на вопрос по сертификации №33913: Укажите все правильные ответы. Что вам известно об этом выражении? Выражение для расчёта среднего значения измеряемой величины Позволяет уменьшить систематическую составляющую погрешности измерений Позволяет уменьшить случайную составляющую погрешности измерений Укажите все правильные ответы. Что вам известно об - Ответ на вопрос по сертификации №33913Укажите все правильные ответы. Что вам известно об - Ответ на вопрос по сертификации №33913
2024-02-292024-02-29СтудИзба
Укажите все правильные ответы. Что вам известно об - Ответ на вопрос по сертификации №33913
-47%
Вопрос
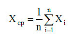
Укажите все правильные ответы.Что вам известно об этом выражении?

- Выражение для расчёта среднего значения измеряемой величины
- Позволяет уменьшить систематическую составляющую погрешности измерений
- Позволяет уменьшить случайную составляющую погрешности измерений
Ответ

Хочешь зарабатывать на СтудИзбе больше 10к рублей в месяц? Научу бесплатно!
Начать зарабатывать
Начать зарабатывать
zzyxel

















