Уравнение Навье-Стокса.
| j | 5 | 10 | 20 | 30 | 40 | 50 | 60 | 65 |
| xкр | 0,05 | 0,29 | 1,56 | 5,47 | 17,3 | 52,6 | 20 | 485 |
В чем отличие жидкостей от твердых тел и газов.
18. Каков физический смысл уравнения Эйлера для неподвижной жидкости?
Информационная подсистема гидроприводов. Контроль давления. Давление: назначение; принцип действия; условное графическое обозначение.
Участок трубопровода заполнен водой при атмосферном давлении.
Требуется определить повышение давления в трубопроводе при нагреве воды на dt °С и закрытых задвижках на концах участка
Примечание. Коэффициенты температурного расширения и объемного сжатия принять b t= 10-4 °С-1; b w = 5x10-10 Па-1
Участок трубопровода заполнен водой при атмосферном давлении.
Требуется определить повышение давления в трубопроводе при нагреве воды на dt °С и закрытых задвижках на концах участка
Примечание. Коэффициенты температурного расширения и объемного сжатия принять b t= 10-4 °С-1; b w = 5x10-10 Па-1
Может ли быть одна и та же труба и «гидравлически гладкой» и «вполне шероховатой»? При каких условиях?
Гидростатическое давление и его свойства. Что такое “эпюра давления”? Принцип построения эпюр давления. Использование эпюр давления для определения величины гидростатического давления и центра давления.









– это
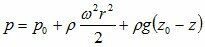
является основным уравнением гидростатики в форме
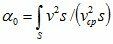
представляет собой коэффициент
является изменением
является уравнением 



