Значение неопределенного интеграла равно … - Ответ на вопрос по математике №200506
-42%
Вопрос
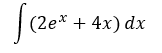
Значение неопределенного интеграла
равно …
Ответ

Гарантия сдачи без лишних хлопот! ✅🎓 Ответы на тесты по любым дисциплинам, базы вопросов, работы и услуги для Синергии, МЭИ и других вузов – всё уже готово! 🚀 🎯📚 Гарантия качества – или возврат денег! 💰✅
meimei1337










